🇳🇴 🇬🇧 🇩🇪 🇨🇿 🇫🇮

Meteor, poloha: Sande 2023-10-10 01:02:46 UTC

Soubor KML  |  InteraktivnĂ­ mapa

Mapa zobrazuje dráhy meteoru. Světlejší čáry ukazují směry od pozorovacích stanic při objevení se meteoru a tmavší čáry, kde byl naposledy viděn. Modrá šipka značí viditelnou dráhu meteoru.

static map
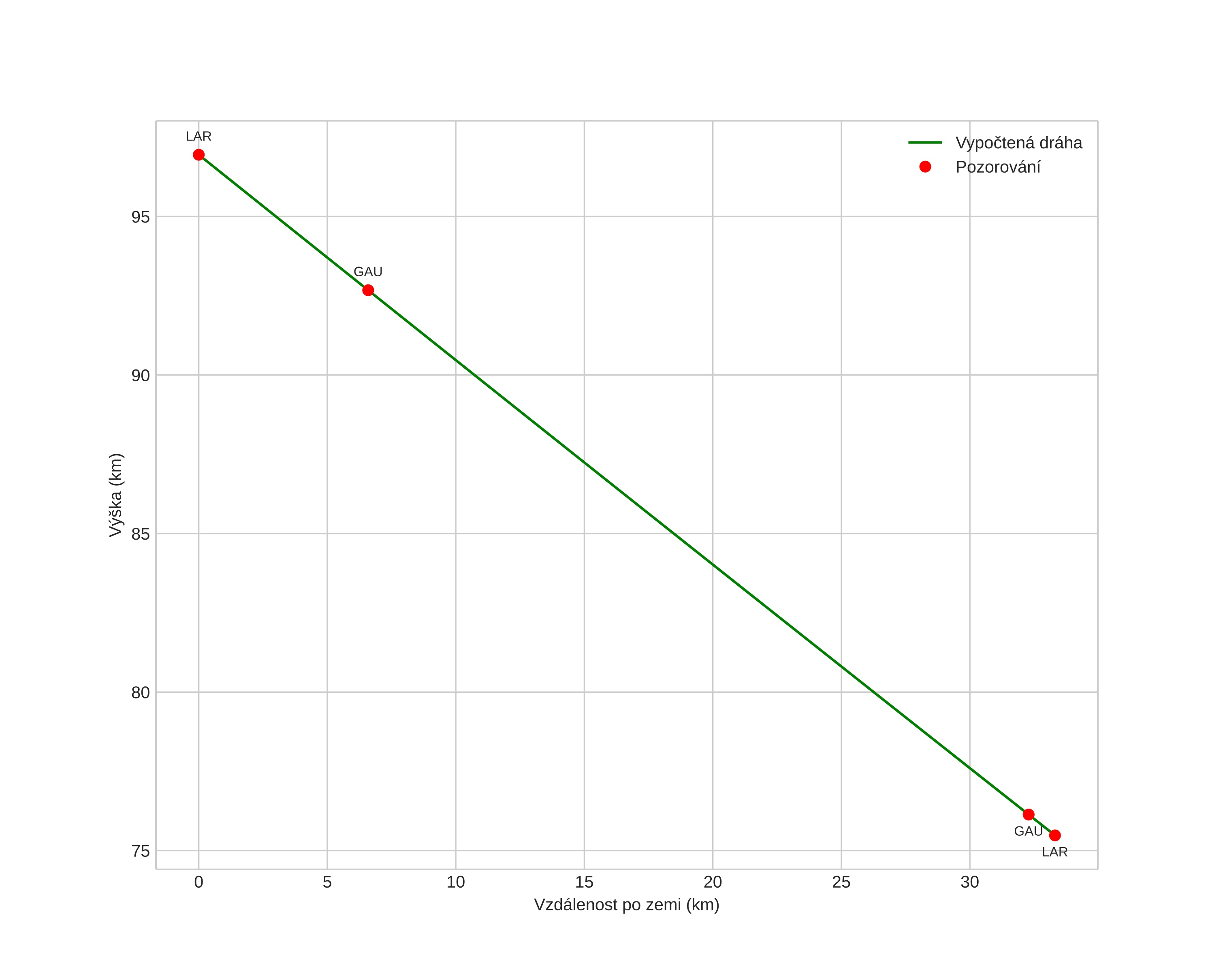
height profile
Atmosférická dráha meteoru:
Počáteční výška: 96,9 km
Konečná výška: 75,5 km
Počáteční poloha: 59,249N 9,971E
Konečná poloha: 59,538N 10,123E
Směr: 14,9°
Sklon: 32,7°
VstupnĂ­ rychlost: 32,8 km/s
Rektascenze radiantu: 02:02 (30,5°)
Deklinace radiantu: 0,8°
MeteorickĂ˝ roj: sporadickĂ˝
Elementy dráhy meteoroidu:
Vzdálenost v periheliu: 0,342 AU
Excentricita: 0,887
Sklon dráhy: 14,2°
Délka vzestupného uzlu: 16,2°
Argument perihelia: 113,5°
Střední anomálie: 352,3°
Epocha: 2023 OCT 10 01:02:46
orbit plot

NeinteraktivnĂ­ graf | InteraktivnĂ­ graf

position vs time
speed and acceleration