🇳🇴 🇬🇧 🇩🇪 🇨🇿 🇫🇮

Meteor Sanden yllä 2023-10-10 01:02:46 UTC

KML-tiedosto  |  Interaktiivinen kartta

Kartta näyttää meteorin suuntahavainnot. Vaaleammat viivat näyttävät suunnat havaintoasemilta meteorin ilmestyessä, ja tummemmat viivat näyttävät, missä se viimeksi nähtiin. Sininen nuoli näyttää meteorin näkyvän lennon.

static map
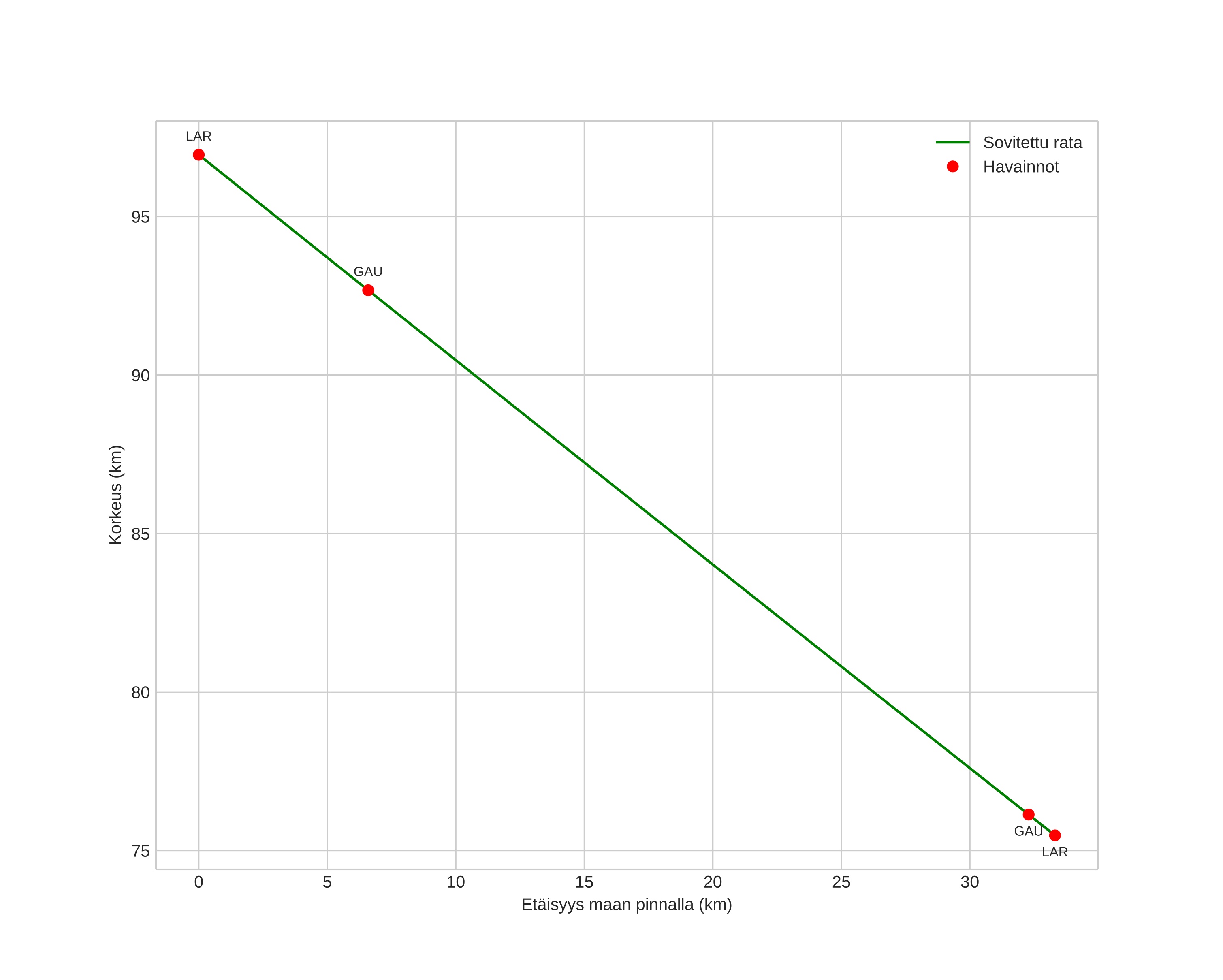
height profile
Meteorin ilmakehärata:
Alkukorkeus: 96,9 km
Loppukorkeus: 75,5 km
Alkupiste: 59,249N 9,971E
Loppupiste: 59,538N 10,123E
Suunta: 14,9°
Kallistuskulma: 32,7°
Tulonopeus: 32,8 km/s
Radiantin R,A,: 02:02 (30,5°)
Radiantin Dekl,: 0,8°
Meteoriparvi: Sporadinen
Meteoroidin rataelementit:
Perihelietäisyys: 0,342 AU
Eksentrisyys: 0,887
Inklinaatio: 14,2°
Nousevan solmun pituus: 16,2°
Perihelin argumentti: 113,5°
Keskianomalia: 352,3°
Epookki: 2023 OCT 10 01:02:46
orbit plot

Ei-interaktiivinen kuvaaja | Interaktiivinen kuvaaja

position vs time
speed and acceleration