🇳🇴 🇬🇧 🇩🇪 🇨🇿 🇫🇮

Meteor, poloha: Skjærhalden 2023-10-10 02:28:05 UTC

Soubor KML  |  InteraktivnĂ­ mapa

Mapa zobrazuje dráhy meteoru. Světlejší čáry ukazují směry od pozorovacích stanic při objevení se meteoru a tmavší čáry, kde byl naposledy viděn. Modrá šipka značí viditelnou dráhu meteoru.

static map
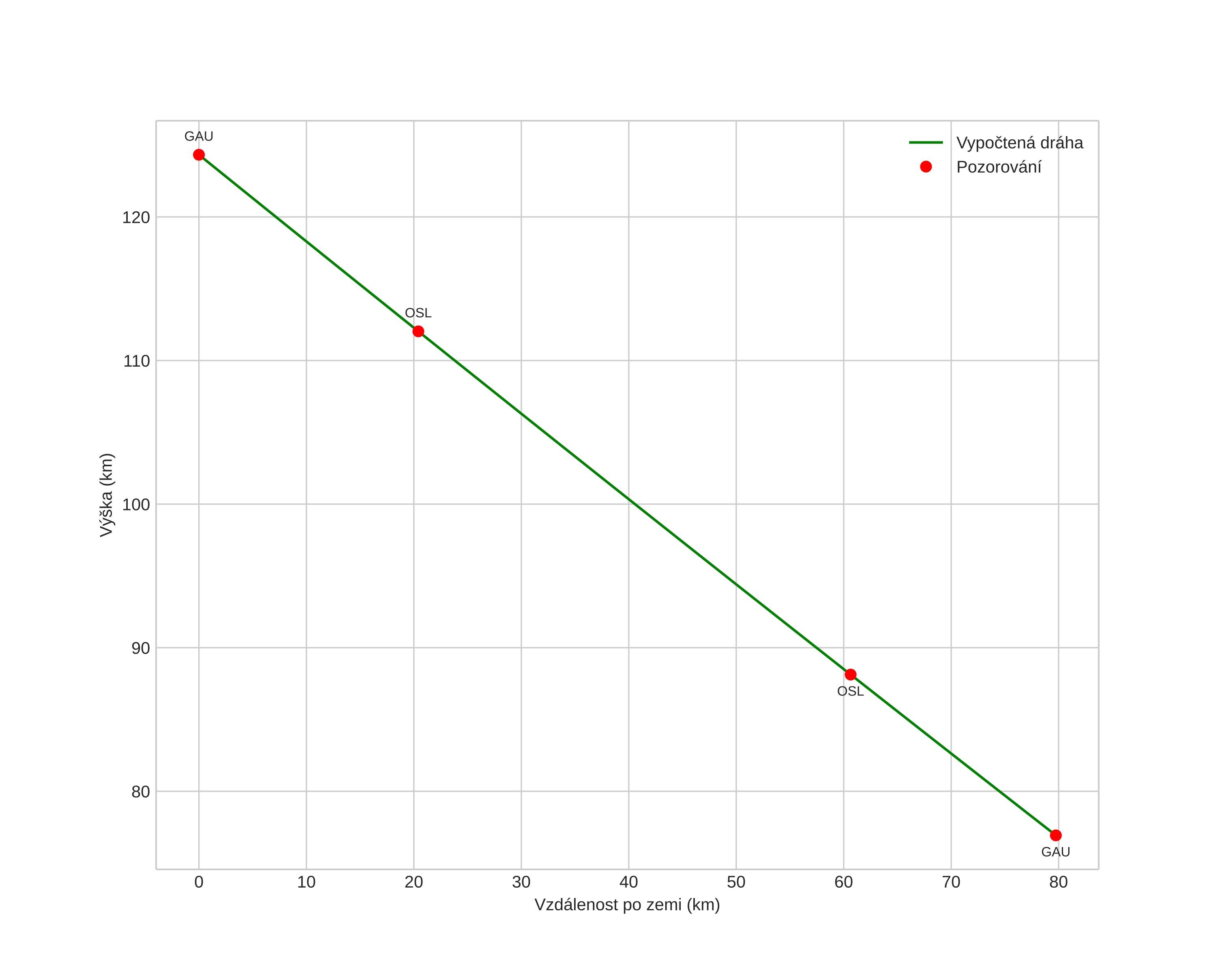
height profile
Atmosférická dráha meteoru:
Počáteční výška: 124,5 km
Konečná výška: 74,6 km
Počáteční poloha: 58,404N 12,180E
Konečná poloha: 58,825N 10,972E
Směr: 304,3°
Sklon: 30,7°
VstupnĂ­ rychlost: 62,8 km/s
Rektascenze radiantu: 07:33 (113,5°)
Deklinace radiantu: 10,0°
MeteorickĂ˝ roj: sporadickĂ˝
Elementy dráhy meteoroidu:
Vzdálenost v periheliu: 0,894 AU
Excentricita: 0,327
Sklon dráhy: 157,6°
Délka vzestupného uzlu: 16,2°
Argument perihelia: 305,1°
Střední anomálie: 28,4°
Epocha: 2023 OCT 10 02:28:05
orbit plot

NeinteraktivnĂ­ graf | InteraktivnĂ­ graf

position vs time
speed and acceleration