🇳🇴 🇬🇧 🇩🇪 🇨🇿 🇫🇮

Meteor Skjærhaldenin yllä 2023-10-10 02:28:05 UTC

KML-tiedosto  |  Interaktiivinen kartta

Kartta näyttää meteorin suuntahavainnot. Vaaleammat viivat näyttävät suunnat havaintoasemilta meteorin ilmestyessä, ja tummemmat viivat näyttävät, missä se viimeksi nähtiin. Sininen nuoli näyttää meteorin näkyvän lennon.

static map
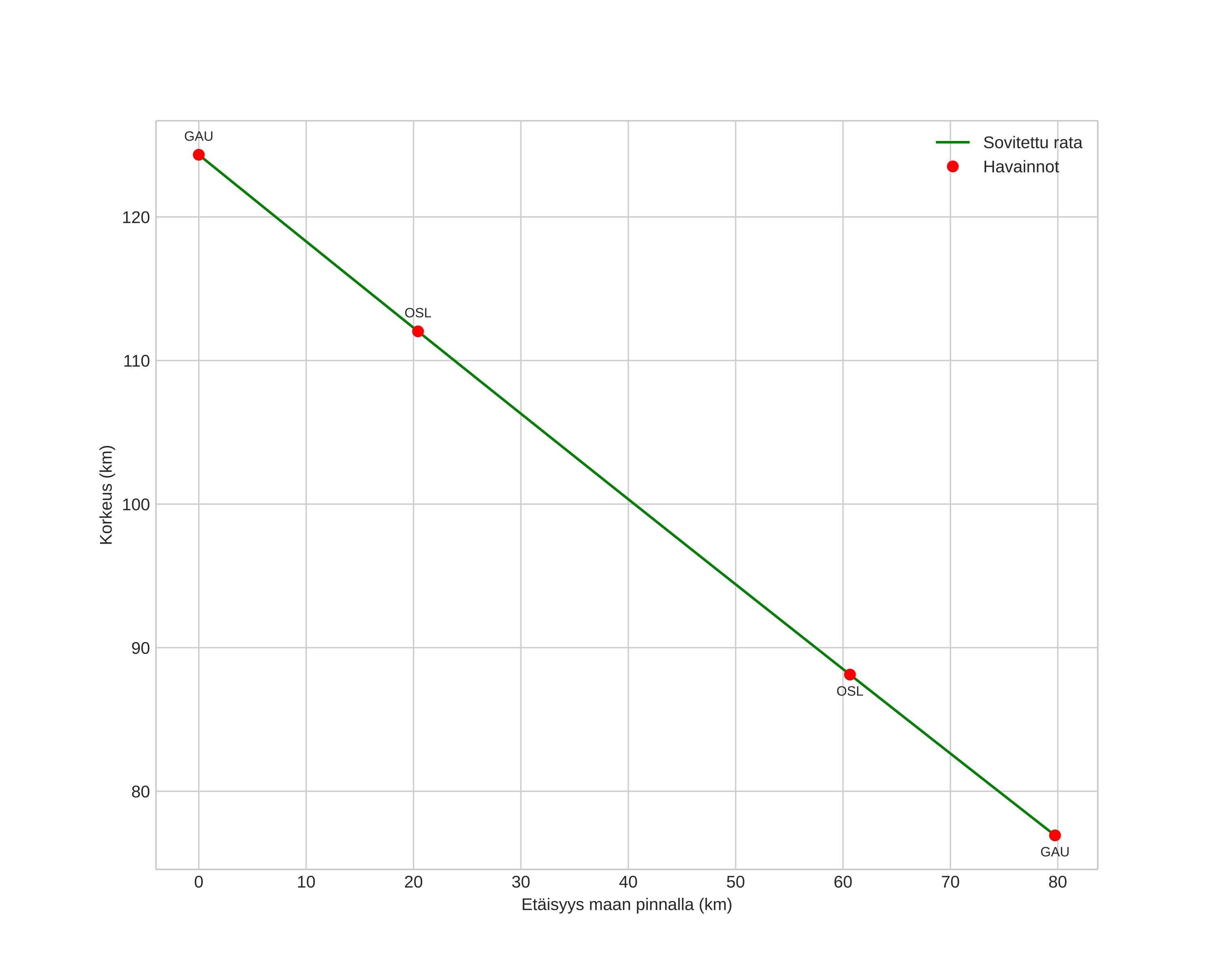
height profile
Meteorin ilmakehärata:
Alkukorkeus: 124,5 km
Loppukorkeus: 74,6 km
Alkupiste: 58,404N 12,180E
Loppupiste: 58,825N 10,972E
Suunta: 304,3°
Kallistuskulma: 30,7°
Tulonopeus: 62,8 km/s
Radiantin R,A,: 07:33 (113,5°)
Radiantin Dekl,: 10,0°
Meteoriparvi: Sporadinen
Meteoroidin rataelementit:
Perihelietäisyys: 0,894 AU
Eksentrisyys: 0,327
Inklinaatio: 157,6°
Nousevan solmun pituus: 16,2°
Perihelin argumentti: 305,1°
Keskianomalia: 28,4°
Epookki: 2023 OCT 10 02:28:05
orbit plot

Ei-interaktiivinen kuvaaja | Interaktiivinen kuvaaja

position vs time
speed and acceleration