🇳🇴 🇬🇧 🇩🇪 🇨🇿 🇫🇮

Meteor, poloha: Setermoen 2023-10-13 20:36:00 UTC

Soubor KML  |  InteraktivnĂ­ mapa

Mapa zobrazuje dráhy meteoru. Světlejší čáry ukazují směry od pozorovacích stanic při objevení se meteoru a tmavší čáry, kde byl naposledy viděn. Modrá šipka značí viditelnou dráhu meteoru.

static map
height profile
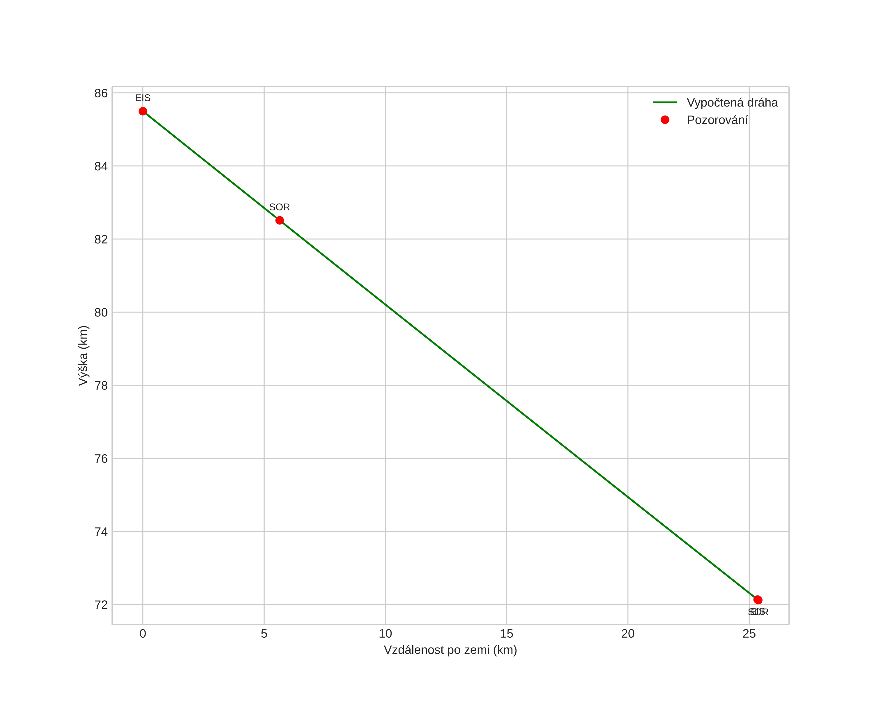
Atmosférická dráha meteoru:
Počáteční výška: 86,1 km
Konečná výška: 73,1 km
Počáteční poloha: 67,878N 17,965E
Konečná poloha: 67,795N 18,548E
Směr: 110,3°
Sklon: 26,5°
VstupnĂ­ rychlost: 20,1 km/s
Rektascenze radiantu: 16:31 (247,9°)
Deklinace radiantu: 25,9°
MeteorickĂ˝ roj: sporadickĂ˝
Elementy dráhy meteoroidu:
Vzdálenost v periheliu: 0,951 AU
Excentricita: 0,822
Sklon dráhy: 18,4°
Délka vzestupného uzlu: 199,9°
Argument perihelia: 153,5°
Střední anomálie: 1,5°
Epocha: 2023 OCT 13 20:36:00
orbit plot

NeinteraktivnĂ­ graf | InteraktivnĂ­ graf

position vs time
speed and acceleration