🇳🇴 🇬🇧 🇩🇪 🇨🇿 🇫🇮

Meteor Setermoenin yllä 2023-10-13 20:36:00 UTC

KML-tiedosto  |  Interaktiivinen kartta

Kartta näyttää meteorin suuntahavainnot. Vaaleammat viivat näyttävät suunnat havaintoasemilta meteorin ilmestyessä, ja tummemmat viivat näyttävät, missä se viimeksi nähtiin. Sininen nuoli näyttää meteorin näkyvän lennon.

static map
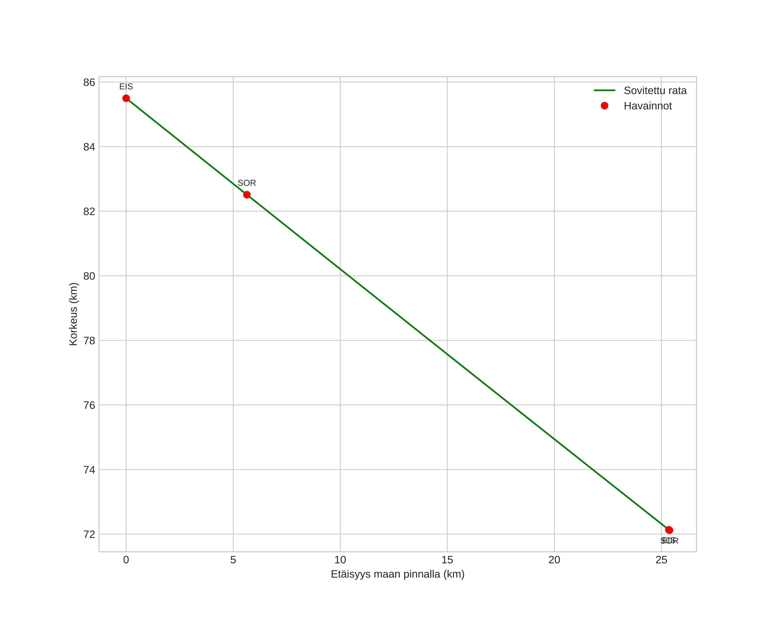
height profile
Meteorin ilmakehärata:
Alkukorkeus: 86,1 km
Loppukorkeus: 73,1 km
Alkupiste: 67,878N 17,965E
Loppupiste: 67,795N 18,548E
Suunta: 110,3°
Kallistuskulma: 26,5°
Tulonopeus: 20,1 km/s
Radiantin R,A,: 16:31 (247,9°)
Radiantin Dekl,: 25,9°
Meteoriparvi: Sporadinen
Meteoroidin rataelementit:
Perihelietäisyys: 0,951 AU
Eksentrisyys: 0,822
Inklinaatio: 18,4°
Nousevan solmun pituus: 199,9°
Perihelin argumentti: 153,5°
Keskianomalia: 1,5°
Epookki: 2023 OCT 13 20:36:00
orbit plot

Ei-interaktiivinen kuvaaja | Interaktiivinen kuvaaja

position vs time
speed and acceleration