🇳🇴 🇬🇧 🇩🇪 🇨🇿 🇫🇮

Meteor, poloha: Moen 2023-10-13 21:43:16 UTC

Soubor KML  |  InteraktivnĂ­ mapa

Mapa zobrazuje dráhy meteoru. Světlejší čáry ukazují směry od pozorovacích stanic při objevení se meteoru a tmavší čáry, kde byl naposledy viděn. Modrá šipka značí viditelnou dráhu meteoru.

static map
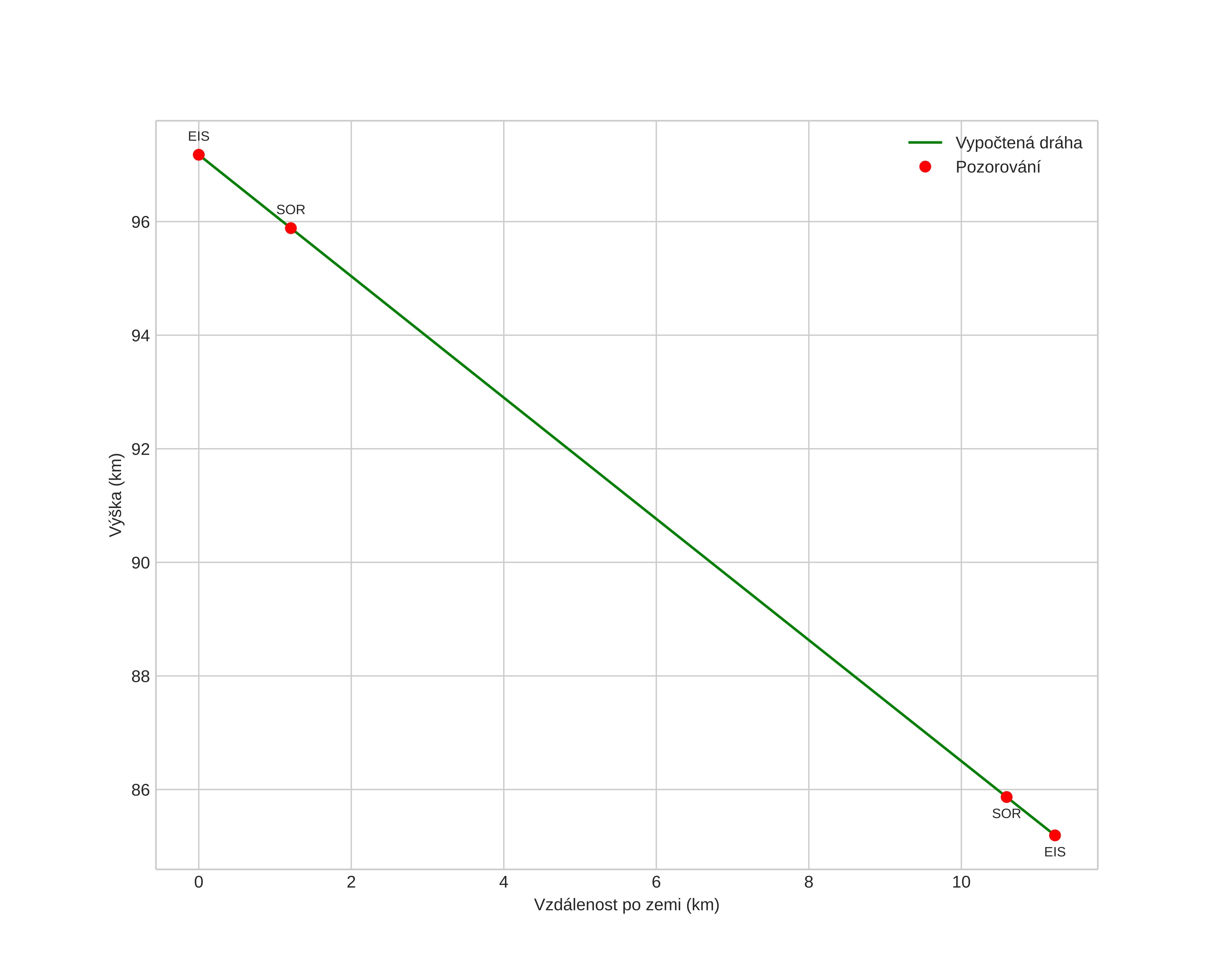
height profile
Atmosférická dráha meteoru:
Počáteční výška: 98,2 km
Konečná výška: 85,5 km
Počáteční poloha: 69,112N 18,396E
Konečná poloha: 69,037N 18,611E
Směr: 134,4°
Sklon: 46,7°
VstupnĂ­ rychlost: 24,4 km/s
Rektascenze radiantu: 16:53 (253,3°)
Deklinace radiantu: 55,7°
MeteorickĂ˝ roj: sporadickĂ˝
Elementy dráhy meteoroidu:
Vzdálenost v periheliu: 0,984 AU
Excentricita: 0,683
Sklon dráhy: 33,5°
Délka vzestupného uzlu: 200,0°
Argument perihelia: 165,1°
Střední anomálie: 2,1°
Epocha: 2023 OCT 13 21:43:16
orbit plot

NeinteraktivnĂ­ graf | InteraktivnĂ­ graf

position vs time
speed and acceleration