🇳🇴 🇬🇧 🇩🇪 🇨🇿 🇫🇮

Meteor Moenin yllä 2023-10-13 21:43:16 UTC

KML-tiedosto  |  Interaktiivinen kartta

Kartta näyttää meteorin suuntahavainnot. Vaaleammat viivat näyttävät suunnat havaintoasemilta meteorin ilmestyessä, ja tummemmat viivat näyttävät, missä se viimeksi nähtiin. Sininen nuoli näyttää meteorin näkyvän lennon.

static map
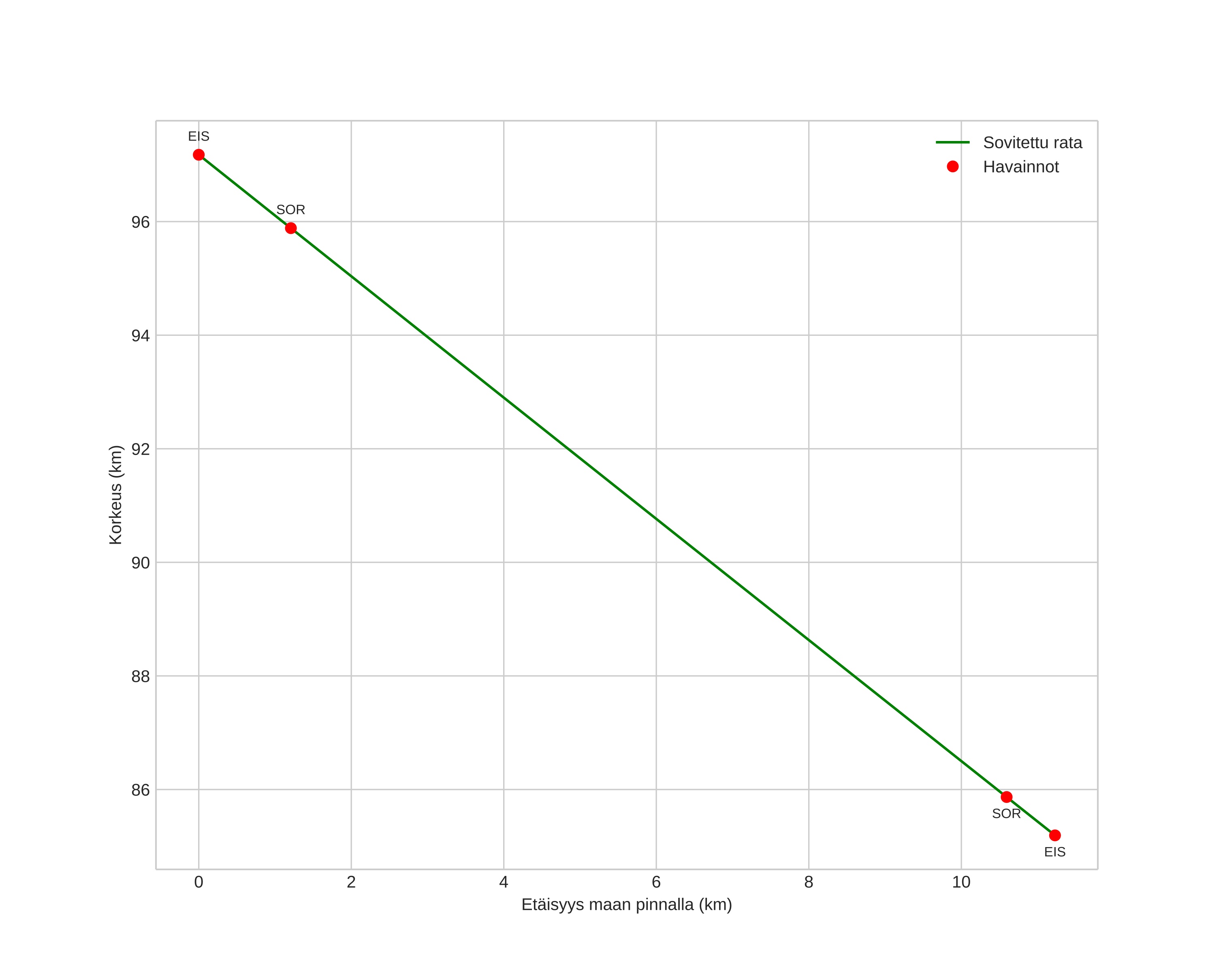
height profile
Meteorin ilmakehärata:
Alkukorkeus: 98,2 km
Loppukorkeus: 85,5 km
Alkupiste: 69,112N 18,396E
Loppupiste: 69,037N 18,611E
Suunta: 134,4°
Kallistuskulma: 46,7°
Tulonopeus: 24,4 km/s
Radiantin R,A,: 16:53 (253,3°)
Radiantin Dekl,: 55,7°
Meteoriparvi: Sporadinen
Meteoroidin rataelementit:
Perihelietäisyys: 0,984 AU
Eksentrisyys: 0,683
Inklinaatio: 33,5°
Nousevan solmun pituus: 200,0°
Perihelin argumentti: 165,1°
Keskianomalia: 2,1°
Epookki: 2023 OCT 13 21:43:16
orbit plot

Ei-interaktiivinen kuvaaja | Interaktiivinen kuvaaja

position vs time
speed and acceleration