🇳🇴 🇬🇧 🇩🇪 🇨🇿 🇫🇮

Meteor, poloha: Grimstad 2023-10-16 23:49:09 UTC

Soubor KML  |  InteraktivnĂ­ mapa

Mapa zobrazuje dráhy meteoru. Světlejší čáry ukazují směry od pozorovacích stanic při objevení se meteoru a tmavší čáry, kde byl naposledy viděn. Modrá šipka značí viditelnou dráhu meteoru.

static map
height profile
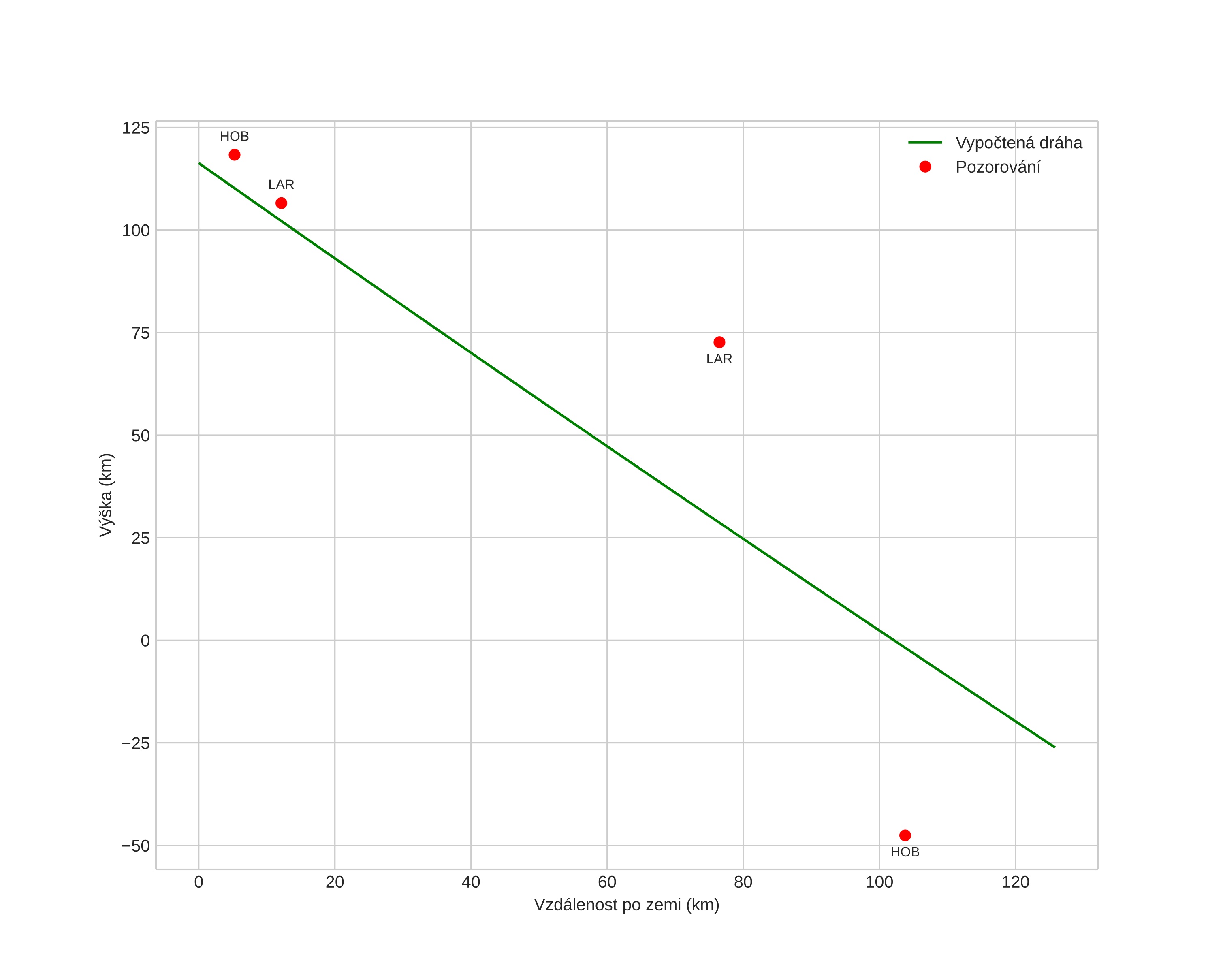
Atmosférická dráha meteoru:
Počáteční výška: 116,3 km
Konečná výška: -26,1 km
Počáteční poloha: 56,685N 8,851E
Konečná poloha: 57,815N 8,756E
Směr: 357,4°
Sklon: 48,5°
VstupnĂ­ rychlost: 89,2 km/s
Rektascenze radiantu: 02:10 (32,6°)
Deklinace radiantu: 14,9°
MeteorickĂ˝ roj: sporadickĂ˝
Elementy dráhy meteoroidu:
Vzdálenost v periheliu: 0,059 AU
Excentricita: 1,391
Sklon dráhy: 13,1°
Délka vzestupného uzlu: 203,0°
Argument perihelia: 308,2°
Střední anomálie: -292,5°
Epocha: 2023 OCT 16 23:49:09
orbit plot

NeinteraktivnĂ­ graf | InteraktivnĂ­ graf

position vs time
speed and acceleration