🇳🇴 🇬🇧 🇩🇪 🇨🇿 🇫🇮

Meteor Grimstadin yllä 2023-10-16 23:49:09 UTC

KML-tiedosto  |  Interaktiivinen kartta

Kartta näyttää meteorin suuntahavainnot. Vaaleammat viivat näyttävät suunnat havaintoasemilta meteorin ilmestyessä, ja tummemmat viivat näyttävät, missä se viimeksi nähtiin. Sininen nuoli näyttää meteorin näkyvän lennon.

static map
height profile
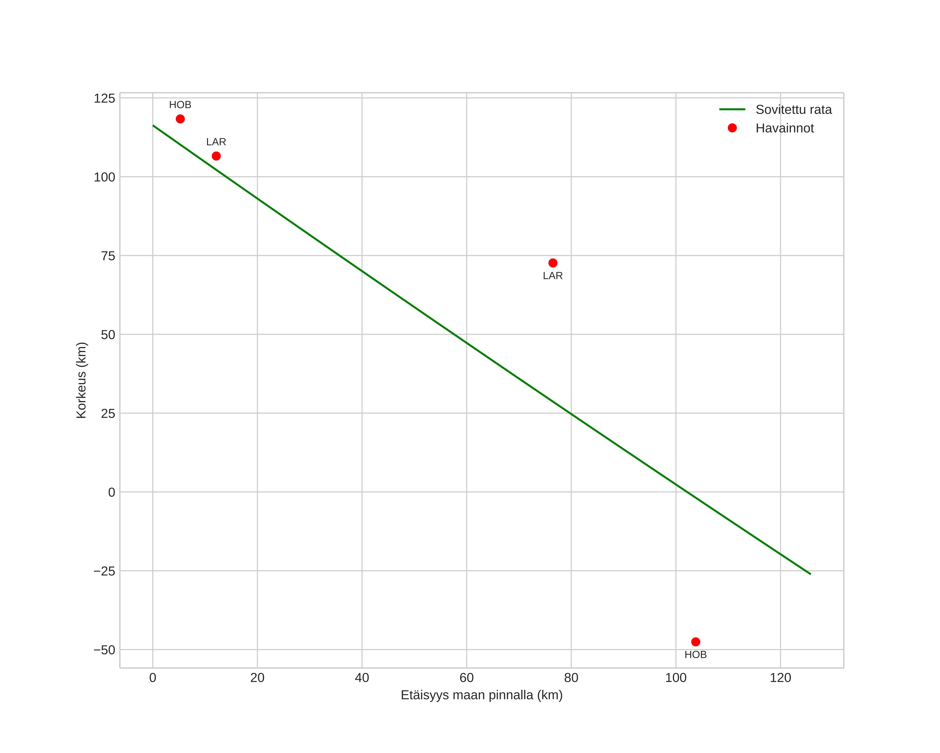
Meteorin ilmakehärata:
Alkukorkeus: 116,3 km
Loppukorkeus: -26,1 km
Alkupiste: 56,685N 8,851E
Loppupiste: 57,815N 8,756E
Suunta: 357,4°
Kallistuskulma: 48,5°
Tulonopeus: 89,2 km/s
Radiantin R,A,: 02:10 (32,6°)
Radiantin Dekl,: 14,9°
Meteoriparvi: Sporadinen
Meteoroidin rataelementit:
Perihelietäisyys: 0,059 AU
Eksentrisyys: 1,391
Inklinaatio: 13,1°
Nousevan solmun pituus: 203,0°
Perihelin argumentti: 308,2°
Keskianomalia: -292,5°
Epookki: 2023 OCT 16 23:49:09
orbit plot

Ei-interaktiivinen kuvaaja | Interaktiivinen kuvaaja

position vs time
speed and acceleration