🇳🇴 🇬🇧 🇩🇪 🇨🇿 🇫🇮

Meteor, poloha: Skjervøy 2023-10-18 18:52:58 UTC

Soubor KML  |  InteraktivnĂ­ mapa

Mapa zobrazuje dráhy meteoru. Světlejší čáry ukazují směry od pozorovacích stanic při objevení se meteoru a tmavší čáry, kde byl naposledy viděn. Modrá šipka značí viditelnou dráhu meteoru.

static map
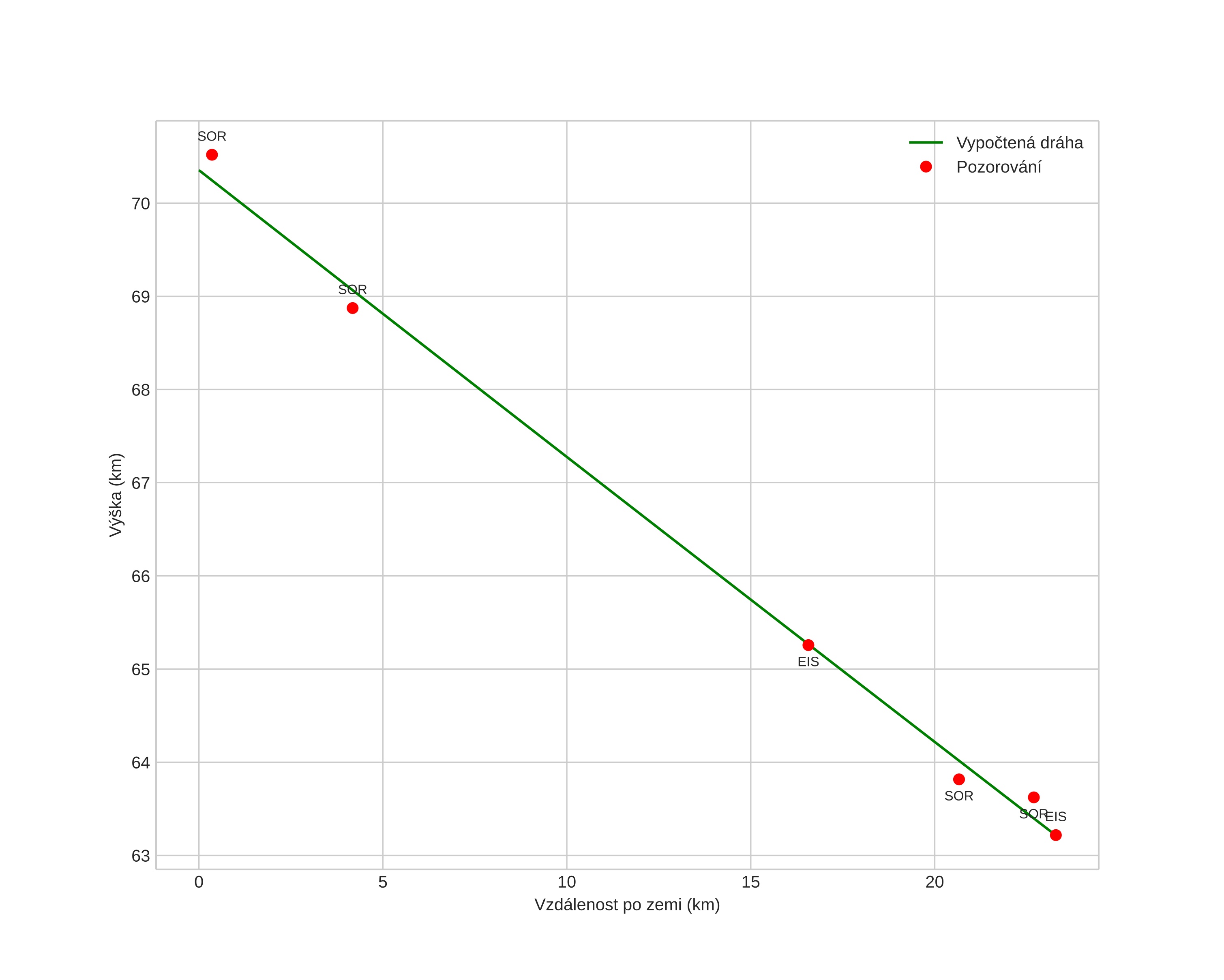
height profile
Atmosférická dráha meteoru:
Počáteční výška: 69,4 km
Konečná výška: 59,2 km
Počáteční poloha: 69,934N 20,646E
Konečná poloha: 70,023N 21,456E
Směr: 72,0°
Sklon: 17,5°
VstupnĂ­ rychlost: 13,5 km/s
Rektascenze radiantu: 17:02 (255,6°)
Deklinace radiantu: -10,7°
MeteorickĂ˝ roj: sporadickĂ˝
Elementy dráhy meteoroidu:
Vzdálenost v periheliu: 0,974 AU
Excentricita: 0,480
Sklon dráhy: 2,6°
Délka vzestupného uzlu: 204,8°
Argument perihelia: 158,5°
Střední anomálie: 6,7°
Epocha: 2023 OCT 18 18:52:58
orbit plot

NeinteraktivnĂ­ graf | InteraktivnĂ­ graf

position vs time
speed and acceleration