🇳🇴 🇬🇧 🇩🇪 🇨🇿 🇫🇮

Meteor Skjervøyn yllä 2023-10-18 18:52:58 UTC

KML-tiedosto  |  Interaktiivinen kartta

Kartta näyttää meteorin suuntahavainnot. Vaaleammat viivat näyttävät suunnat havaintoasemilta meteorin ilmestyessä, ja tummemmat viivat näyttävät, missä se viimeksi nähtiin. Sininen nuoli näyttää meteorin näkyvän lennon.

static map
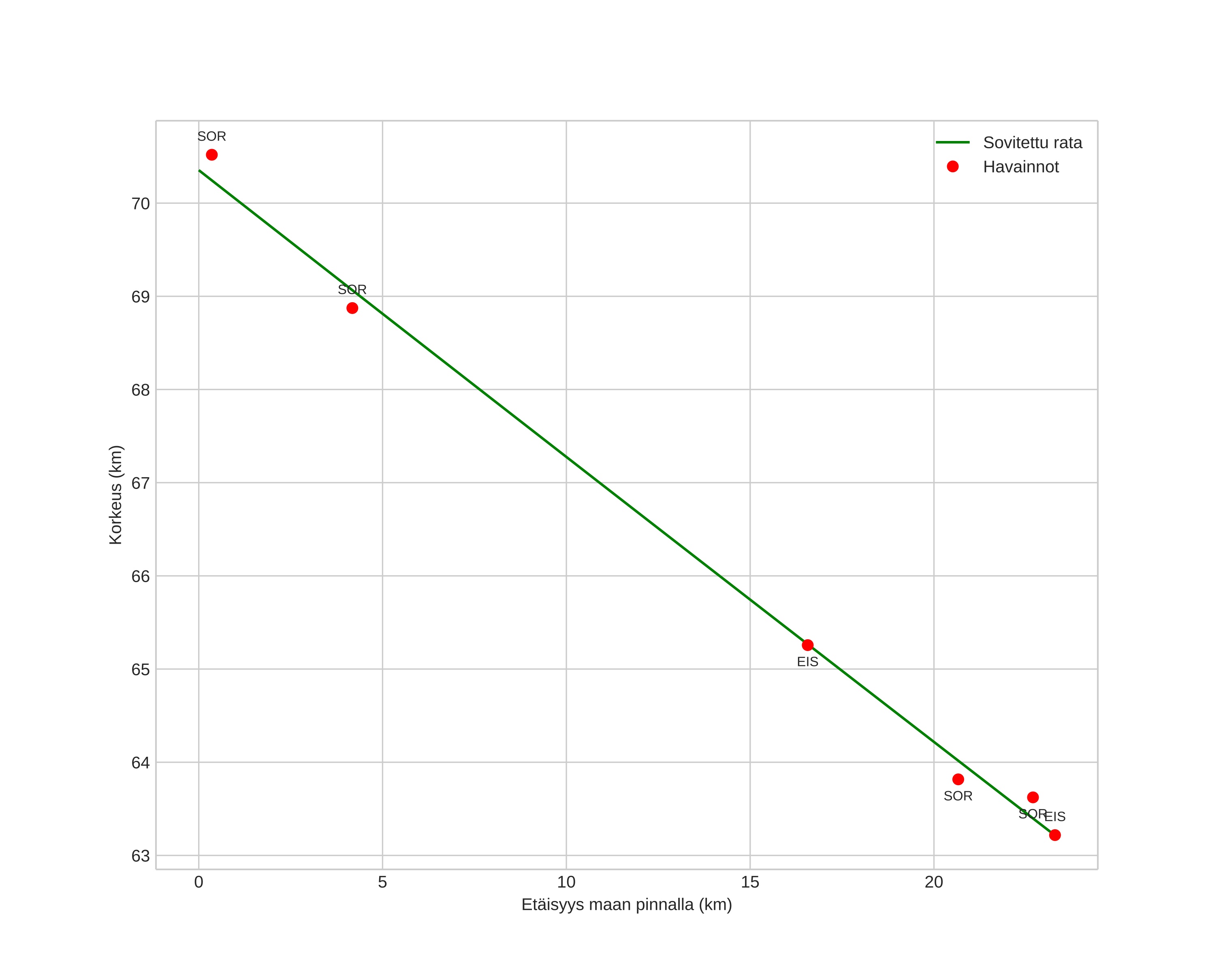
height profile
Meteorin ilmakehärata:
Alkukorkeus: 69,4 km
Loppukorkeus: 59,2 km
Alkupiste: 69,934N 20,646E
Loppupiste: 70,023N 21,456E
Suunta: 72,0°
Kallistuskulma: 17,5°
Tulonopeus: 13,5 km/s
Radiantin R,A,: 17:02 (255,6°)
Radiantin Dekl,: -10,7°
Meteoriparvi: Sporadinen
Meteoroidin rataelementit:
Perihelietäisyys: 0,974 AU
Eksentrisyys: 0,480
Inklinaatio: 2,6°
Nousevan solmun pituus: 204,8°
Perihelin argumentti: 158,5°
Keskianomalia: 6,7°
Epookki: 2023 OCT 18 18:52:58
orbit plot

Ei-interaktiivinen kuvaaja | Interaktiivinen kuvaaja

position vs time
speed and acceleration