🇳🇴 🇬🇧 🇩🇪 🇨🇿 🇫🇮

Meteor, poloha: Lyngseidet 2023-10-23 17:29:10 UTC

Soubor KML  |  InteraktivnĂ­ mapa

Mapa zobrazuje dráhy meteoru. Světlejší čáry ukazují směry od pozorovacích stanic při objevení se meteoru a tmavší čáry, kde byl naposledy viděn. Modrá šipka značí viditelnou dráhu meteoru.

static map
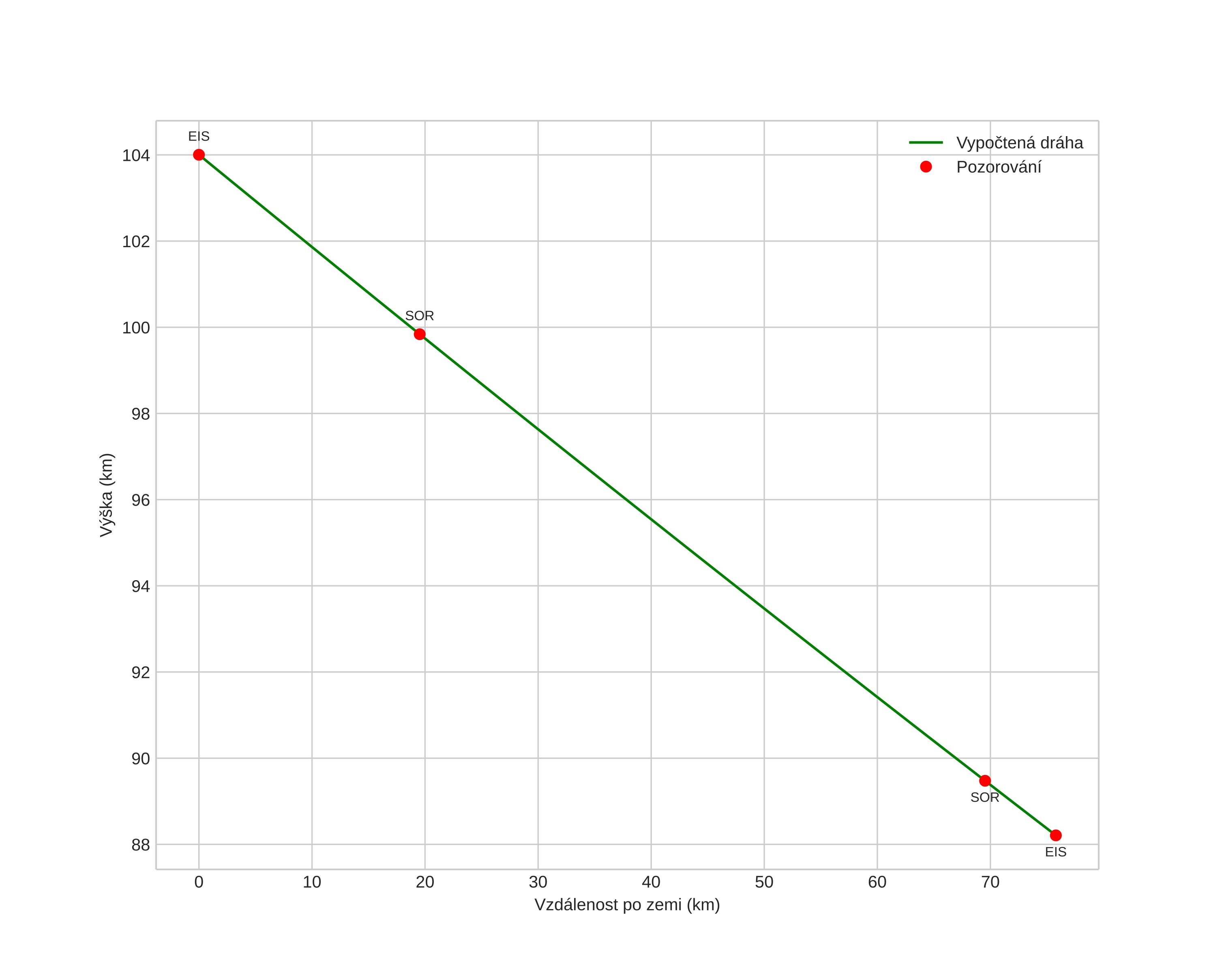
height profile
Atmosférická dráha meteoru:
Počáteční výška: 108,8 km
Konečná výška: 88,4 km
Počáteční poloha: 70,112N 18,034E
Konečná poloha: 69,660N 20,203E
Směr: 120,2°
Sklon: 11,9°
VstupnĂ­ rychlost: 44,0 km/s
Rektascenze radiantu: 13:06 (196,5°)
Deklinace radiantu: 19,8°
MeteorickĂ˝ roj: sporadickĂ˝
Elementy dráhy meteoroidu:
Vzdálenost v periheliu: 0,301 AU
Excentricita: 1,003
Sklon dráhy: 50,1°
Délka vzestupného uzlu: 209,7°
Argument perihelia: 66,9°
Střední anomálie: 0,0°
Epocha: 2023 OCT 23 17:29:10
orbit plot

NeinteraktivnĂ­ graf | InteraktivnĂ­ graf

position vs time
speed and acceleration