🇳🇴 🇬🇧 🇩🇪 🇨🇿 🇫🇮

Meteor Lyngseidetin yllä 2023-10-23 17:29:10 UTC

KML-tiedosto  |  Interaktiivinen kartta

Kartta näyttää meteorin suuntahavainnot. Vaaleammat viivat näyttävät suunnat havaintoasemilta meteorin ilmestyessä, ja tummemmat viivat näyttävät, missä se viimeksi nähtiin. Sininen nuoli näyttää meteorin näkyvän lennon.

static map
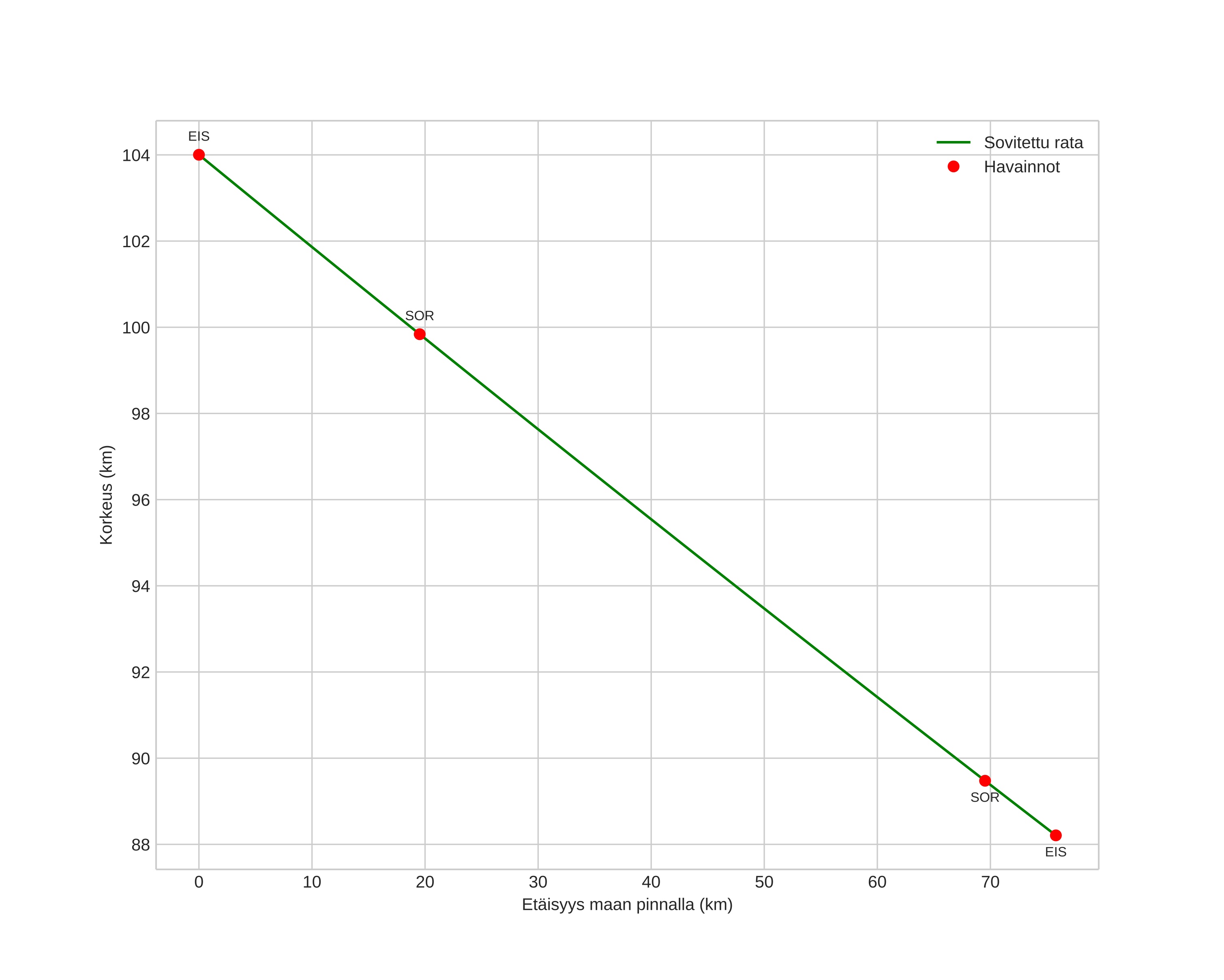
height profile
Meteorin ilmakehärata:
Alkukorkeus: 108,8 km
Loppukorkeus: 88,4 km
Alkupiste: 70,112N 18,034E
Loppupiste: 69,660N 20,203E
Suunta: 120,2°
Kallistuskulma: 11,9°
Tulonopeus: 44,0 km/s
Radiantin R,A,: 13:06 (196,5°)
Radiantin Dekl,: 19,8°
Meteoriparvi: Sporadinen
Meteoroidin rataelementit:
Perihelietäisyys: 0,301 AU
Eksentrisyys: 1,003
Inklinaatio: 50,1°
Nousevan solmun pituus: 209,7°
Perihelin argumentti: 66,9°
Keskianomalia: 0,0°
Epookki: 2023 OCT 23 17:29:10
orbit plot

Ei-interaktiivinen kuvaaja | Interaktiivinen kuvaaja

position vs time
speed and acceleration