🇳🇴 🇬🇧 🇩🇪 🇨🇿 🇫🇮

Meteor, poloha: Storslett 2023-10-23 19:44:29 UTC

Soubor KML  |  InteraktivnĂ­ mapa

Mapa zobrazuje dráhy meteoru. Světlejší čáry ukazují směry od pozorovacích stanic při objevení se meteoru a tmavší čáry, kde byl naposledy viděn. Modrá šipka značí viditelnou dráhu meteoru.

static map
height profile
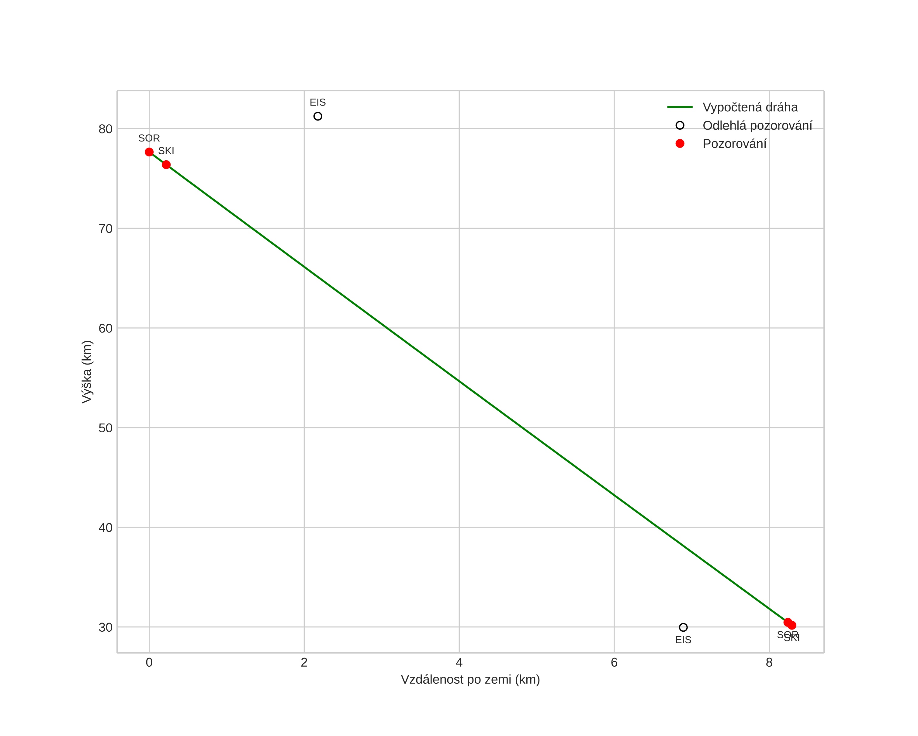
Atmosférická dráha meteoru:
Počáteční výška: 77,7 km
Konečná výška: 30,2 km
Počáteční poloha: 68,580N 21,745E
Konečná poloha: 68,573N 21,542E
Směr: 264,7°
Sklon: 80,1°
VstupnĂ­ rychlost: 14,7 km/s
Rektascenze radiantu: 01:15 (18,8°)
Deklinace radiantu: 66,7°
MeteorickĂ˝ roj: sporadickĂ˝
Elementy dráhy meteoroidu:
Vzdálenost v periheliu: 0,764 AU
Excentricita: 0,205
Sklon dráhy: 15,4°
Délka vzestupného uzlu: 209,8°
Argument perihelia: 291,4°
Střední anomálie: 271,6°
Epocha: 2023 OCT 23 19:44:29
orbit plot

NeinteraktivnĂ­ graf | InteraktivnĂ­ graf

position vs time
speed and acceleration