🇳🇴 🇬🇧 🇩🇪 🇨🇿 🇫🇮

Meteor Storslettin yllä 2023-10-23 19:44:29 UTC

KML-tiedosto  |  Interaktiivinen kartta

Kartta näyttää meteorin suuntahavainnot. Vaaleammat viivat näyttävät suunnat havaintoasemilta meteorin ilmestyessä, ja tummemmat viivat näyttävät, missä se viimeksi nähtiin. Sininen nuoli näyttää meteorin näkyvän lennon.

static map
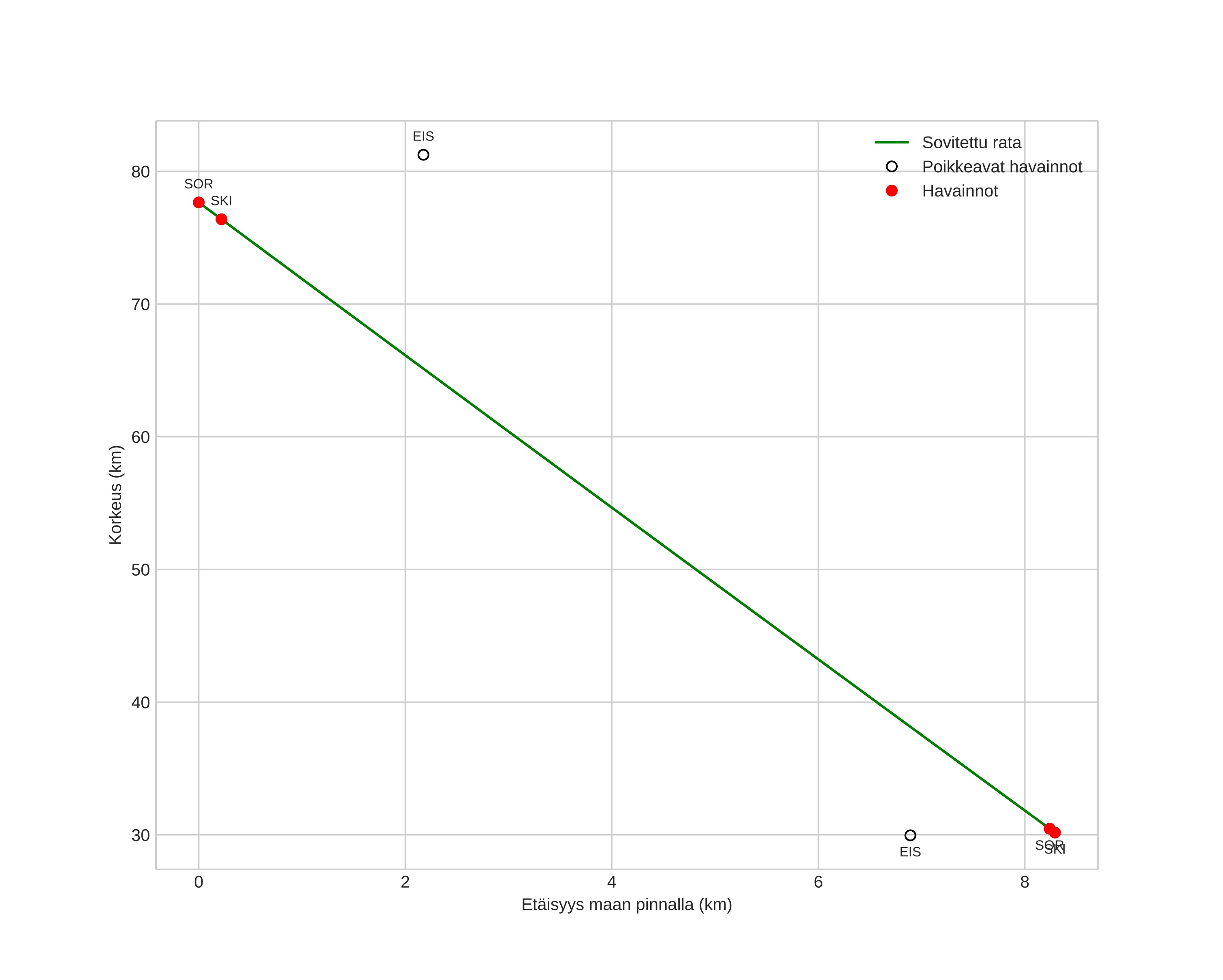
height profile
Meteorin ilmakehärata:
Alkukorkeus: 77,7 km
Loppukorkeus: 30,2 km
Alkupiste: 68,580N 21,745E
Loppupiste: 68,573N 21,542E
Suunta: 264,7°
Kallistuskulma: 80,1°
Tulonopeus: 14,7 km/s
Radiantin R,A,: 01:15 (18,8°)
Radiantin Dekl,: 66,7°
Meteoriparvi: Sporadinen
Meteoroidin rataelementit:
Perihelietäisyys: 0,764 AU
Eksentrisyys: 0,205
Inklinaatio: 15,4°
Nousevan solmun pituus: 209,8°
Perihelin argumentti: 291,4°
Keskianomalia: 271,6°
Epookki: 2023 OCT 23 19:44:29
orbit plot

Ei-interaktiivinen kuvaaja | Interaktiivinen kuvaaja

position vs time
speed and acceleration

Skibotn (SKI) cam2


gnomonic
Videot:
• Gnomoninen
• Gnomoninen koordinaateilla
• Alkuperäinen
• Alkuperäinen koordinaateilla
Kuvat:
• Gnomoninen
• Gnomoninen koordinaateilla
• Gnomoninen merkinnöillä
• Alkuperäinen
• Alkuperäinen koordinaateilla
• Alkuperäinen maskilla
Tekstitiedostot:
• Havaintoraportti
• Observaatio
• Koordinaatit
• Virheilmoitukset
• Loki
Kirkkaus