🇳🇴 🇬🇧 🇩🇪 🇨🇿 🇫🇮

Meteor, poloha: Hamnvik 2023-10-27 19:17:22 UTC

Soubor KML  |  InteraktivnĂ­ mapa

Mapa zobrazuje dráhy meteoru. Světlejší čáry ukazují směry od pozorovacích stanic při objevení se meteoru a tmavší čáry, kde byl naposledy viděn. Modrá šipka značí viditelnou dráhu meteoru.

static map
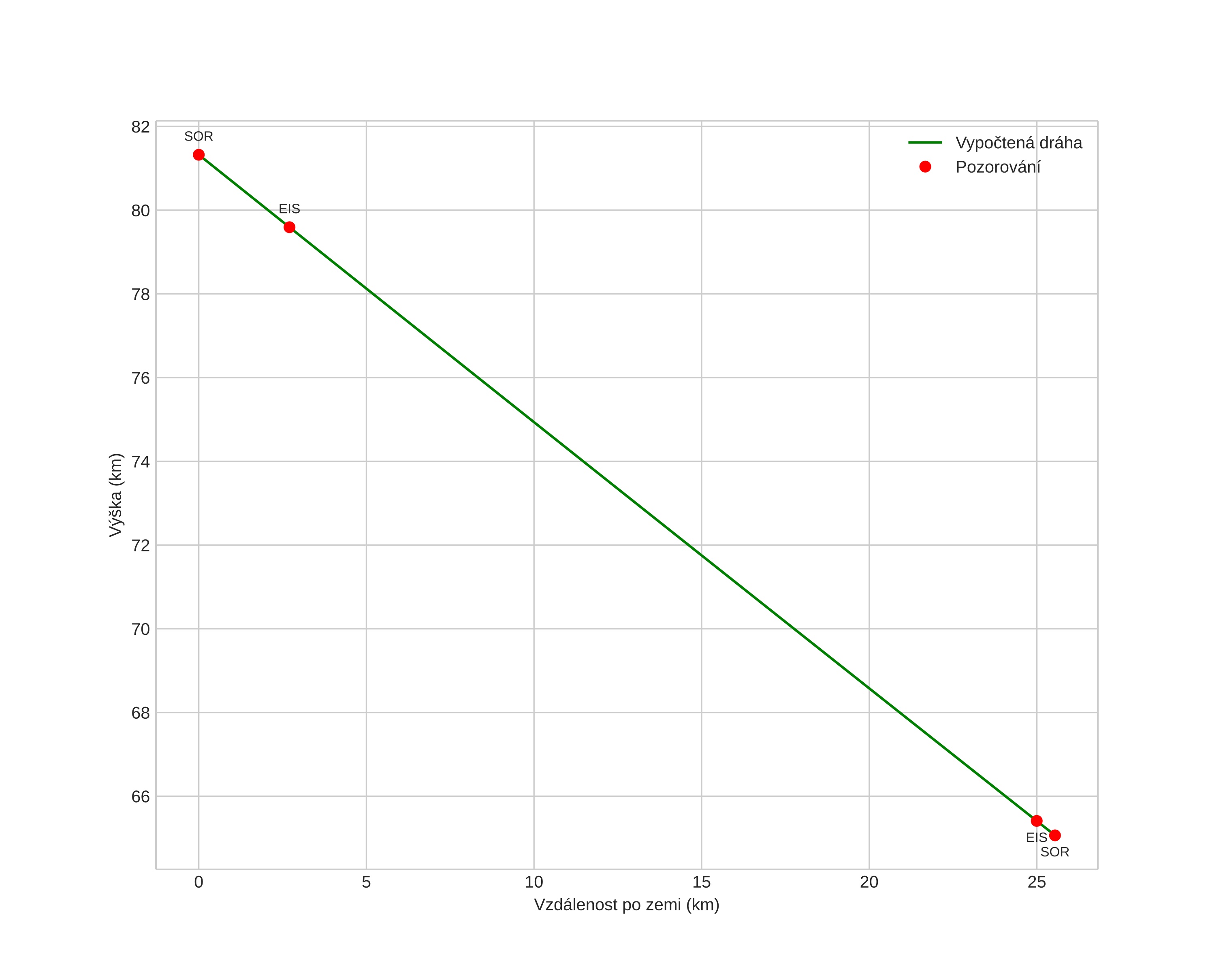
height profile
Atmosférická dráha meteoru:
Počáteční výška: 81,0 km
Konečná výška: 65,0 km
Počáteční poloha: 68,611N 17,823E
Konečná poloha: 68,790N 17,433E
Směr: 321,9°
Sklon: 32,2°
VstupnĂ­ rychlost: 20,3 km/s
Rektascenze radiantu: 01:04 (16,2°)
Deklinace radiantu: 9,1°
MeteorickĂ˝ roj: sporadickĂ˝
Elementy dráhy meteoroidu:
Vzdálenost v periheliu: 0,765 AU
Excentricita: 0,723
Sklon dráhy: 1,0°
Délka vzestupného uzlu: 213,7°
Argument perihelia: 243,2°
Střední anomálie: 351,6°
Epocha: 2023 OCT 27 19:17:22
orbit plot

NeinteraktivnĂ­ graf | InteraktivnĂ­ graf

position vs time
speed and acceleration