🇳🇴 🇬🇧 🇩🇪 🇨🇿 🇫🇮

Meteor Hamnvikin yllä 2023-10-27 19:17:22 UTC

KML-tiedosto  |  Interaktiivinen kartta

Kartta näyttää meteorin suuntahavainnot. Vaaleammat viivat näyttävät suunnat havaintoasemilta meteorin ilmestyessä, ja tummemmat viivat näyttävät, missä se viimeksi nähtiin. Sininen nuoli näyttää meteorin näkyvän lennon.

static map
height profile
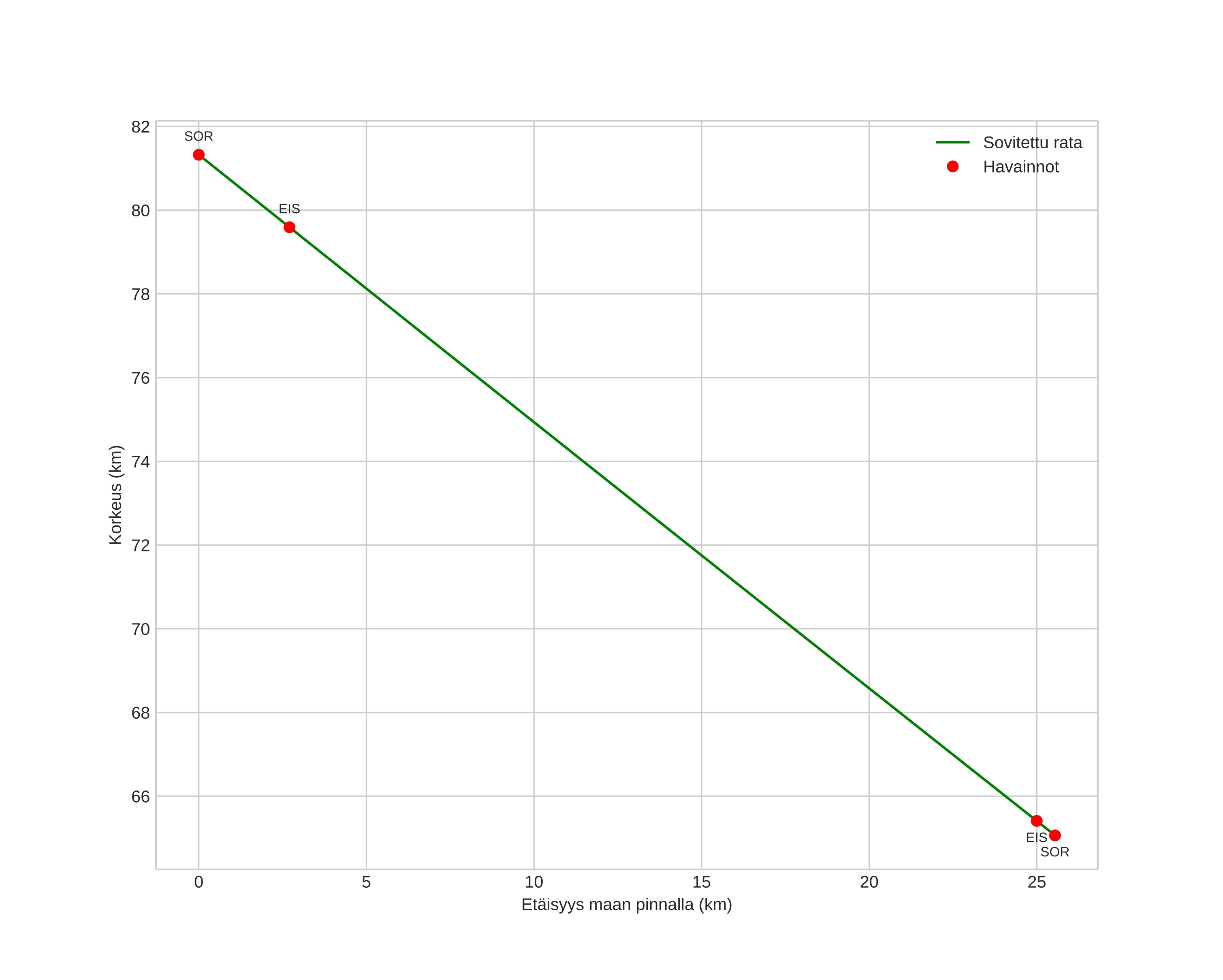
Meteorin ilmakehärata:
Alkukorkeus: 81,0 km
Loppukorkeus: 65,0 km
Alkupiste: 68,611N 17,823E
Loppupiste: 68,790N 17,433E
Suunta: 321,9°
Kallistuskulma: 32,2°
Tulonopeus: 20,3 km/s
Radiantin R,A,: 01:04 (16,2°)
Radiantin Dekl,: 9,1°
Meteoriparvi: Sporadinen
Meteoroidin rataelementit:
Perihelietäisyys: 0,765 AU
Eksentrisyys: 0,723
Inklinaatio: 1,0°
Nousevan solmun pituus: 213,7°
Perihelin argumentti: 243,2°
Keskianomalia: 351,6°
Epookki: 2023 OCT 27 19:17:22
orbit plot

Ei-interaktiivinen kuvaaja | Interaktiivinen kuvaaja

position vs time
speed and acceleration