🇳🇴 🇬🇧 🇩🇪 🇨🇿 🇫🇮

Meteor über Arjeplog 2023-10-27 22:47:49 UTC

KML-Datei  |  Interaktive Karte

Die Karte zeigt die Peilungen für den Meteor. Die helleren Linien zeigen die Richtungen von den Beobachtungsorten beim Erscheinen des Meteors, und die dunkleren Linien, wo er zuletzt gesehen wurde. Der blaue Pfeil zeigt die sichtbare Bahn des Meteors.

static map
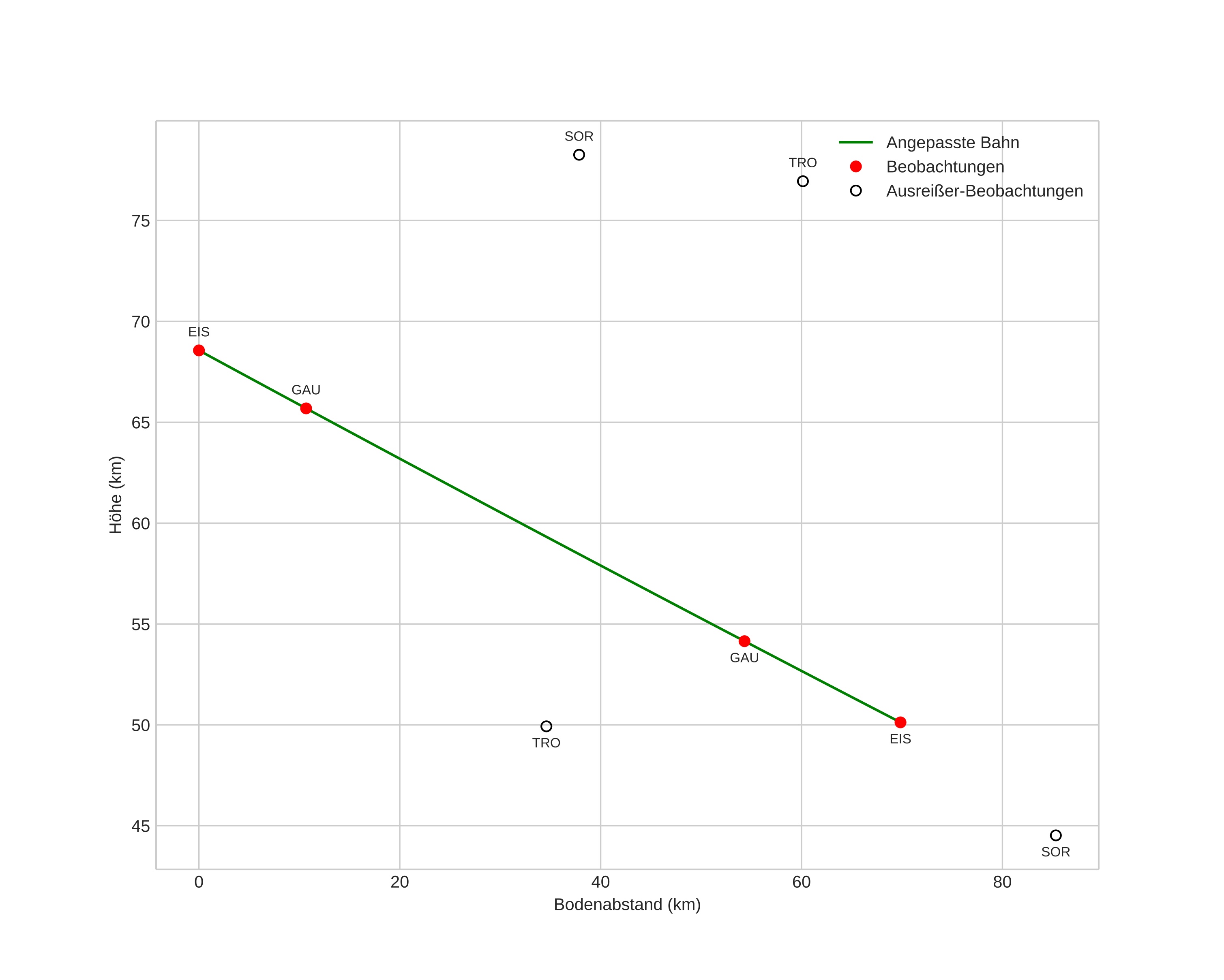
height profile
Atmosphärische Bahn des Meteors:
Anfangshöhe: 68,6 km
Endhöhe: 50,1 km
Startposition: 66,205N 16,280E
Endposition: 66,758N 17,024E
Richtung: 27,8°
Neigungswinkel: 14,8°
Eintrittsgeschwindigkeit: 16,8 km/s
Rektaszension des Radianten: 00:15 (3,8°)
Deklination des Radianten: -18,6°
Meteorstrom: sporadisch
Bahnelemente des Meteoroiden:
Periheldistanz: 0,916 AU
Exzentrizität: 0,719
Inklination: 6,2°
Länge des aufsteigenden Knotens: 33,9°
Argument des Perihels: 35,6°
Mittlere Anomalie: 355,7°
Epoche: 2023 OCT 27 22:47:49
orbit plot

Nicht-interaktives Diagramm | Interaktives Diagramm

position vs time
speed and acceleration

Eiscat (EIS) cam1


gnomonic
Videos
• Gnomonisch
• Gnomonisch mit Koordinaten
• Original
• Original mit Koordinaten
Bilder
• Gnomonisch
• Gnomonisch mit Koordinaten
• Gnomonisch mit Beschriftungen
• Original
• Original mit Koordinaten
• Original mit Maske
Textdateien
• Erkennung
• Beobachtung
• Koordinaten
• Protokoll
Helligkeit

Gaustatoppen (GAU) cam2


gnomonic
Videos
• Gnomonisch
• Gnomonisch mit Koordinaten
• Original
• Original mit Koordinaten
Bilder
• Gnomonisch
• Gnomonisch mit Koordinaten
• Gnomonisch mit Beschriftungen
• Original
• Original mit Koordinaten
Textdateien
• Erkennung
• Beobachtung
• Koordinaten
• Protokoll
Helligkeit

Sorreisa (SOR) cam1


gnomonic
Videos
• Gnomonisch
• Gnomonisch mit Koordinaten
• Original
• Original mit Koordinaten
Bilder
• Gnomonisch
• Gnomonisch mit Koordinaten
• Gnomonisch mit Beschriftungen
• Original
• Original mit Koordinaten
• Original mit Maske
Textdateien
• Erkennung
• Beobachtung
• Koordinaten
• Protokoll
Helligkeit

Trondheim (TRO) cam2


gnomonic
Videos
• Gnomonisch
• Gnomonisch mit Koordinaten
• Original
• Original mit Koordinaten
Bilder
• Gnomonisch
• Gnomonisch mit Koordinaten
• Gnomonisch mit Beschriftungen
• Original
• Original mit Koordinaten
• Original mit Maske
Textdateien
• Erkennung
• Beobachtung
• Koordinaten
• Protokoll
Helligkeit