🇳🇴 🇬🇧 🇩🇪 🇨🇿 🇫🇮

Meteor over Arjeplog 2023-10-27 22:47:49 UTC

KML file  |  Interactive map

The map shows the bearings for the meteor. The lighter lines show the directions from the observation sites at the meteor's appearance, and the darker lines show where it was last seen. The blue arrow indicates the visible path of the meteor.

static map
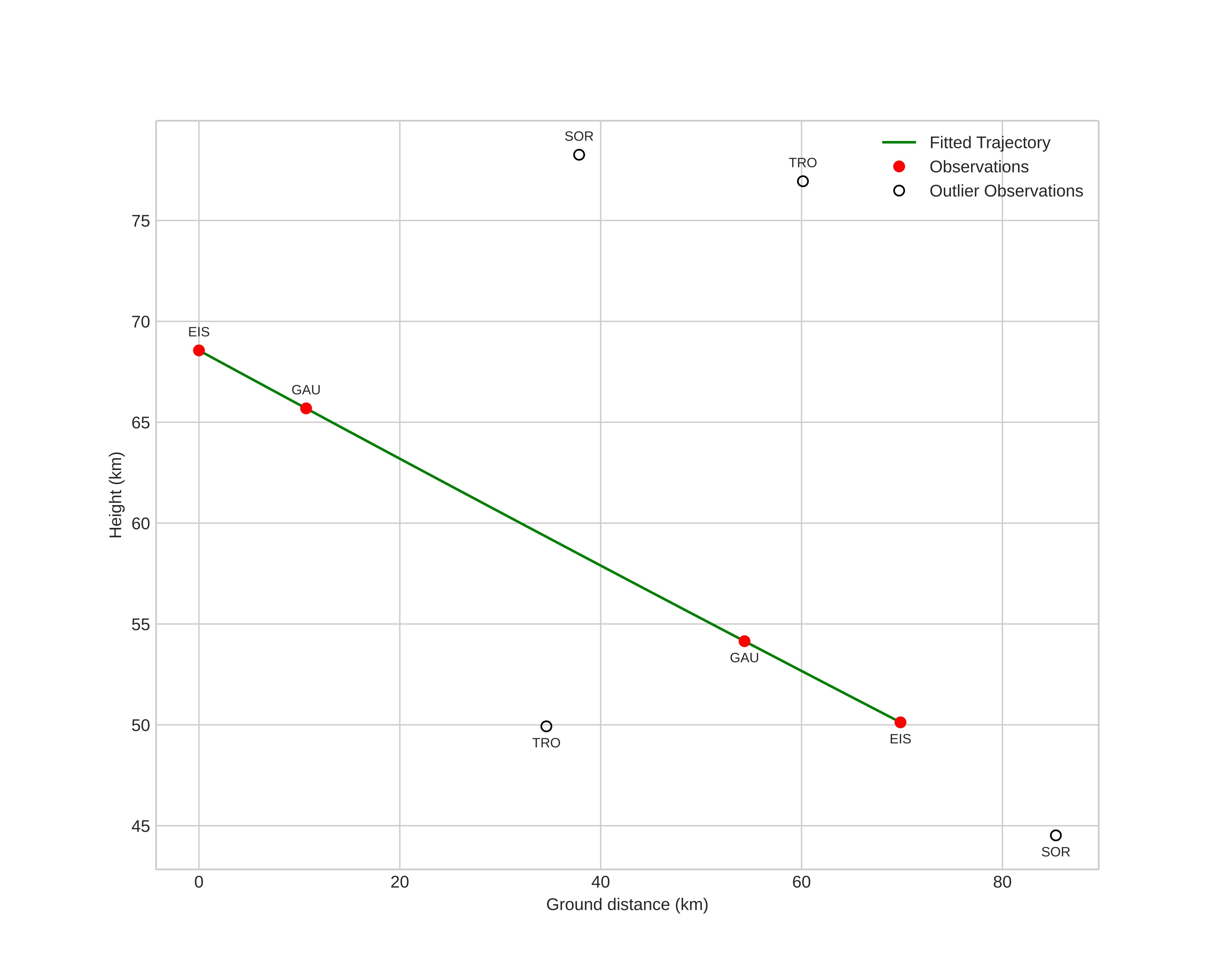
height profile
Meteor's Atmospheric Trajectory:
Start height: 68.6 km
End height: 50.1 km
Start position: 66.205N 16.280E
End position: 66.758N 17.024E
Direction: 27.8°
Inclination angle: 14.8°
Entry speed: 16.8 km/s
Radiant R.A.: 00:15 (3.8°)
Radiant Dec.: -18.6°
Meteor Shower: sporadic
Meteoroid's Orbital Elements:
Perihelion distance: 0.916 AU
Eccentricity: 0.719
Inclination: 6.2°
Long. of Asc. Node: 33.9°
Argument of Perihelion: 35.6°
Mean Anomaly: 355.7°
Epoch: 2023 OCT 27 22:47:49
orbit plot

Non-interactive plot | Interactive plot

position vs time
speed and acceleration

Eiscat (EIS) cam1


gnomonic
Videos
• Gnomonic
• Gnomonic with coordinates
• Original
• Original with coordinates
Images
• Gnomonic
• Gnomonic with coordinates
• Gnomonic with labels
• Original
• Original with coordinates
• Original with mask
Text Files
• Detection
• Observation
• Coordinates
• Log
Brightness

Gaustatoppen (GAU) cam2


gnomonic
Videos
• Gnomonic
• Gnomonic with coordinates
• Original
• Original with coordinates
Images
• Gnomonic
• Gnomonic with coordinates
• Gnomonic with labels
• Original
• Original with coordinates
Text Files
• Detection
• Observation
• Coordinates
• Log
Brightness

Sorreisa (SOR) cam1


gnomonic
Videos
• Gnomonic
• Gnomonic with coordinates
• Original
• Original with coordinates
Images
• Gnomonic
• Gnomonic with coordinates
• Gnomonic with labels
• Original
• Original with coordinates
• Original with mask
Text Files
• Detection
• Observation
• Coordinates
• Log
Brightness

Trondheim (TRO) cam2


gnomonic
Videos
• Gnomonic
• Gnomonic with coordinates
• Original
• Original with coordinates
Images
• Gnomonic
• Gnomonic with coordinates
• Gnomonic with labels
• Original
• Original with coordinates
• Original with mask
Text Files
• Detection
• Observation
• Coordinates
• Log
Brightness