🇳🇴 🇬🇧 🇩🇪 🇨🇿 🇫🇮

Meteor, poloha: Hattfjelldal 2023-10-30 02:30:12 UTC

Soubor KML  |  InteraktivnĂ­ mapa

Mapa zobrazuje dráhy meteoru. Světlejší čáry ukazují směry od pozorovacích stanic při objevení se meteoru a tmavší čáry, kde byl naposledy viděn. Modrá šipka značí viditelnou dráhu meteoru.

static map
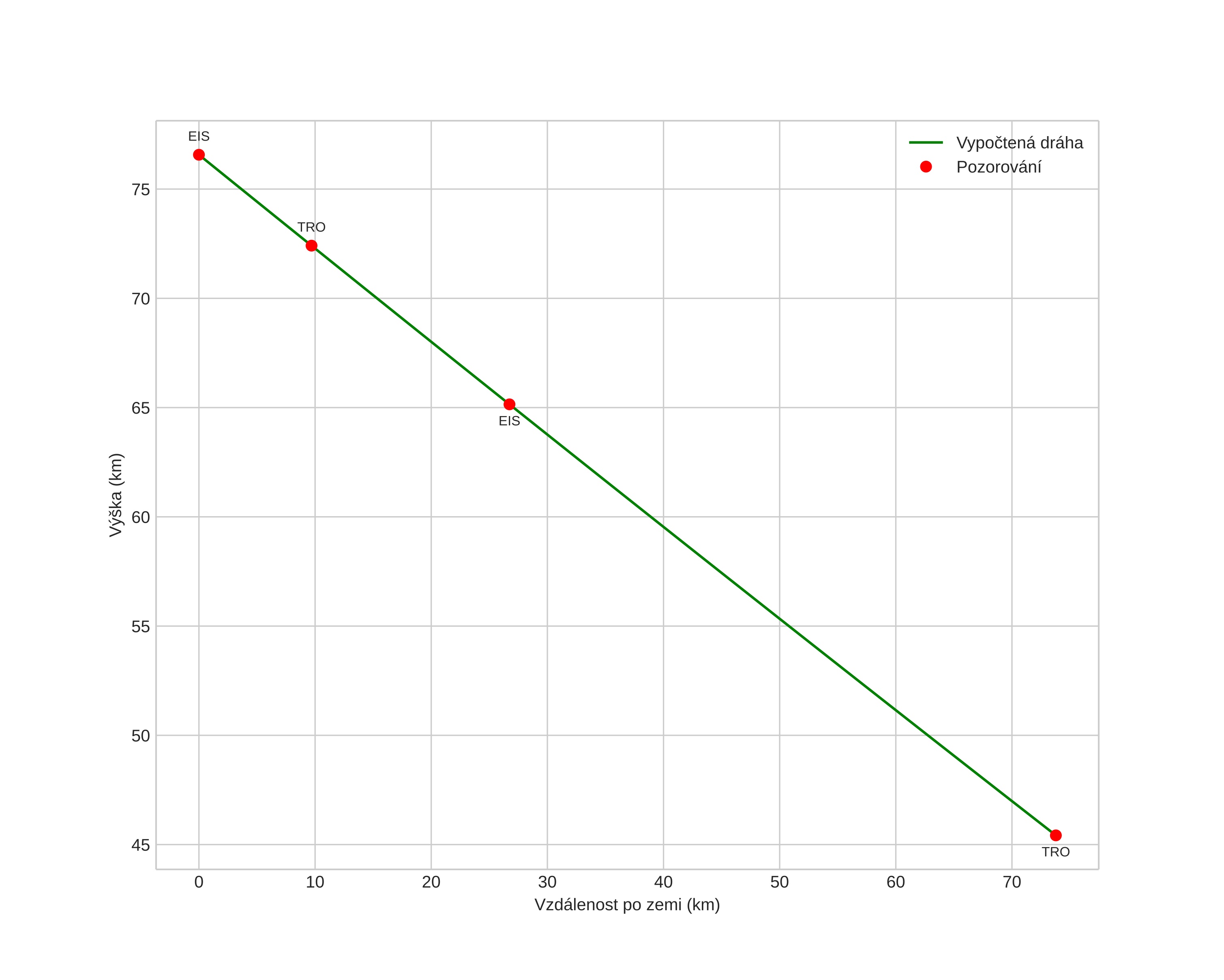
height profile
Atmosférická dráha meteoru:
Počáteční výška: 76,6 km
Konečná výška: 45,1 km
Počáteční poloha: 65,782N 13,179E
Konečná poloha: 65,482N 14,629E
Směr: 116,0°
Sklon: 22,9°
VstupnĂ­ rychlost: 14,3 km/s
Rektascenze radiantu: 22:28 (337,2°)
Deklinace radiantu: 15,7°
MeteorickĂ˝ roj: sporadickĂ˝
Elementy dráhy meteoroidu:
Vzdálenost v periheliu: 0,959 AU
Excentricita: 0,564
Sklon dráhy: 5,7°
Délka vzestupného uzlu: 216,1°
Argument perihelia: 205,1°
Střední anomálie: 354,1°
Epocha: 2023 OCT 30 02:30:12
orbit plot

NeinteraktivnĂ­ graf | InteraktivnĂ­ graf

position vs time
speed and acceleration