🇳🇴 🇬🇧 🇩🇪 🇨🇿 🇫🇮

Meteor Hattfjelldalin yllä 2023-10-30 02:30:12 UTC

KML-tiedosto  |  Interaktiivinen kartta

Kartta näyttää meteorin suuntahavainnot. Vaaleammat viivat näyttävät suunnat havaintoasemilta meteorin ilmestyessä, ja tummemmat viivat näyttävät, missä se viimeksi nähtiin. Sininen nuoli näyttää meteorin näkyvän lennon.

static map
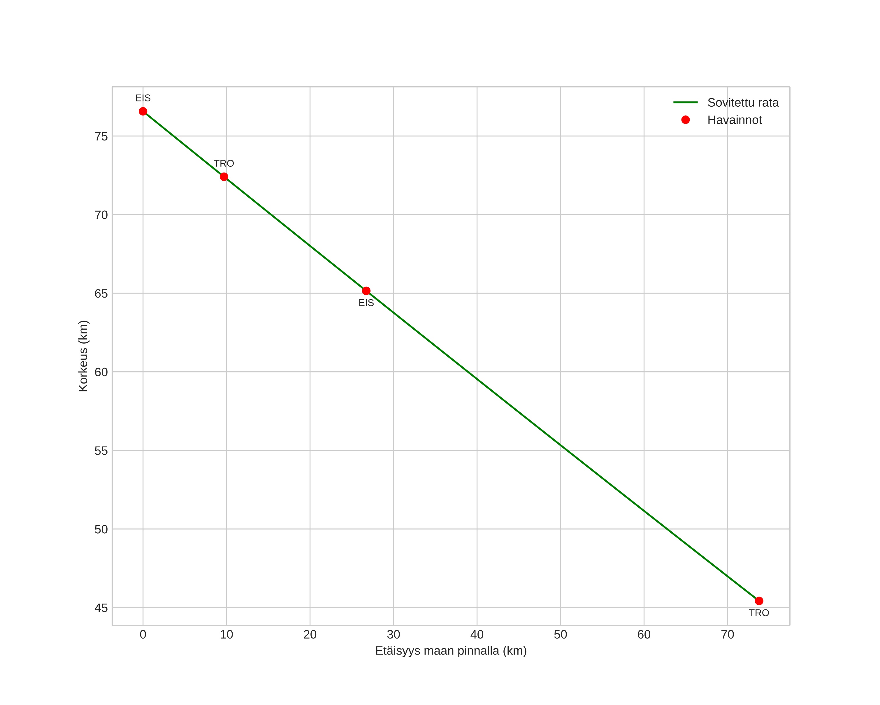
height profile
Meteorin ilmakehärata:
Alkukorkeus: 76,6 km
Loppukorkeus: 45,1 km
Alkupiste: 65,782N 13,179E
Loppupiste: 65,482N 14,629E
Suunta: 116,0°
Kallistuskulma: 22,9°
Tulonopeus: 14,3 km/s
Radiantin R,A,: 22:28 (337,2°)
Radiantin Dekl,: 15,7°
Meteoriparvi: Sporadinen
Meteoroidin rataelementit:
Perihelietäisyys: 0,959 AU
Eksentrisyys: 0,564
Inklinaatio: 5,7°
Nousevan solmun pituus: 216,1°
Perihelin argumentti: 205,1°
Keskianomalia: 354,1°
Epookki: 2023 OCT 30 02:30:12
orbit plot

Ei-interaktiivinen kuvaaja | Interaktiivinen kuvaaja

position vs time
speed and acceleration

Eiscat (EIS) cam1


gnomonic
Videot:
• Gnomoninen
• Gnomoninen koordinaateilla
• Alkuperäinen
• Alkuperäinen koordinaateilla
Kuvat:
• Gnomoninen
• Gnomoninen koordinaateilla
• Gnomoninen merkinnöillä
• Alkuperäinen
• Alkuperäinen koordinaateilla
• Alkuperäinen maskilla
Tekstitiedostot:
• Havaintoraportti
• Observaatio
• Koordinaatit
• Loki
Kirkkaus