🇳🇴 🇬🇧 🇩🇪 🇨🇿 🇫🇮

Meteor, poloha: Hatteng 2023-10-30 04:25:41 UTC

Soubor KML  |  InteraktivnĂ­ mapa

Mapa zobrazuje dráhy meteoru. Světlejší čáry ukazují směry od pozorovacích stanic při objevení se meteoru a tmavší čáry, kde byl naposledy viděn. Modrá šipka značí viditelnou dráhu meteoru.

static map
height profile
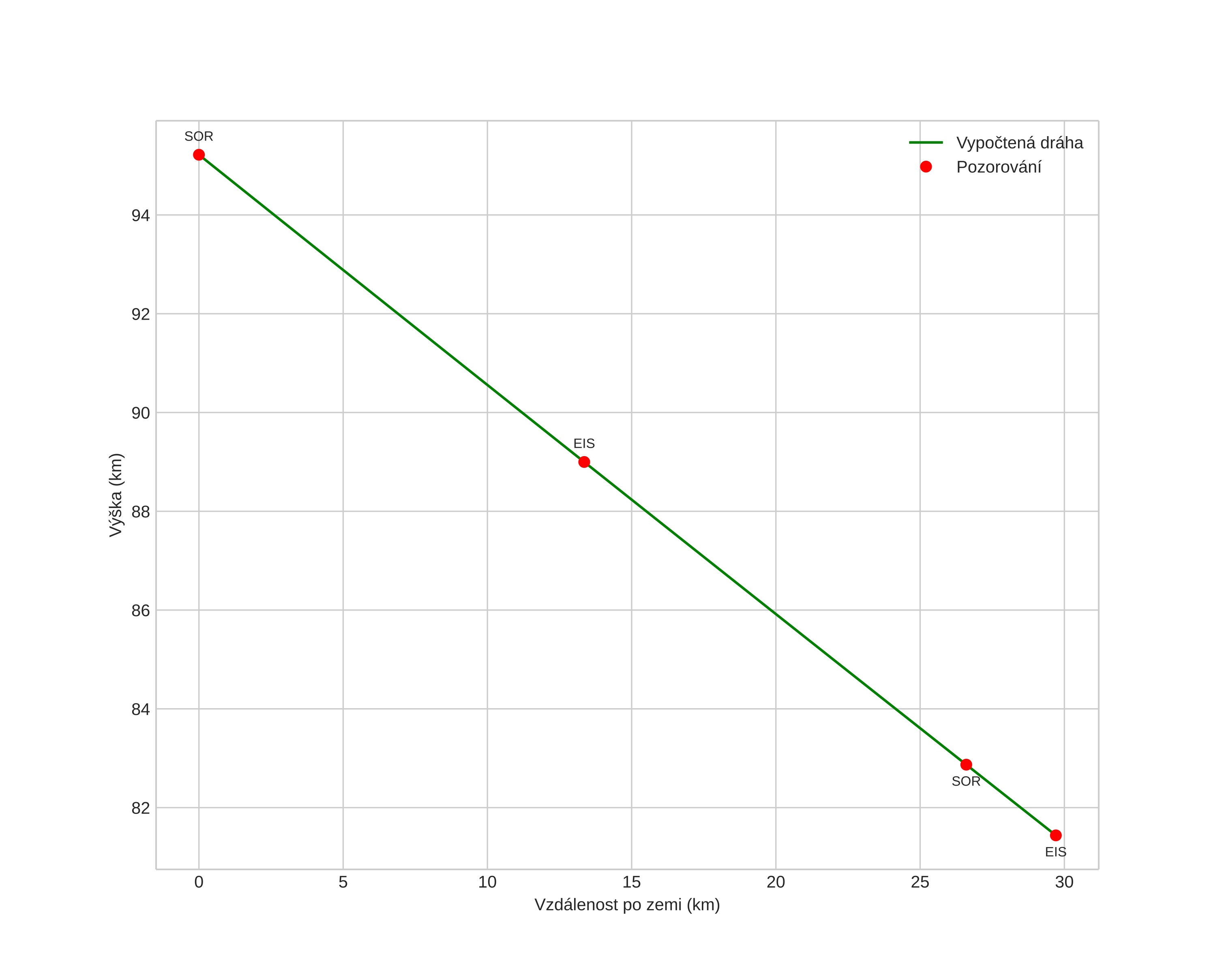
Atmosférická dráha meteoru:
Počáteční výška: 95,2 km
Konečná výška: 81,4 km
Počáteční poloha: 68,564N 19,014E
Konečná poloha: 68,583N 19,743E
Směr: 85,6°
Sklon: 24,9°
VstupnĂ­ rychlost: 30,0 km/s
Rektascenze radiantu: 03:02 (45,7°)
Deklinace radiantu: 18,8°
MeteorickĂ˝ roj: SevernĂ­ Tauridy
Elementy dráhy meteoroidu:
Vzdálenost v periheliu: 0,349 AU
Excentricita: 0,827
Sklon dráhy: 1,8°
Délka vzestupného uzlu: 216,1°
Argument perihelia: 295,8°
Střední anomálie: 345,3°
Epocha: 2023 OCT 30 04:25:41
orbit plot

NeinteraktivnĂ­ graf | InteraktivnĂ­ graf

position vs time
speed and acceleration