🇳🇴 🇬🇧 🇩🇪 🇨🇿 🇫🇮

Meteor Hattengin yllä 2023-10-30 04:25:41 UTC

KML-tiedosto  |  Interaktiivinen kartta

Kartta näyttää meteorin suuntahavainnot. Vaaleammat viivat näyttävät suunnat havaintoasemilta meteorin ilmestyessä, ja tummemmat viivat näyttävät, missä se viimeksi nähtiin. Sininen nuoli näyttää meteorin näkyvän lennon.

static map
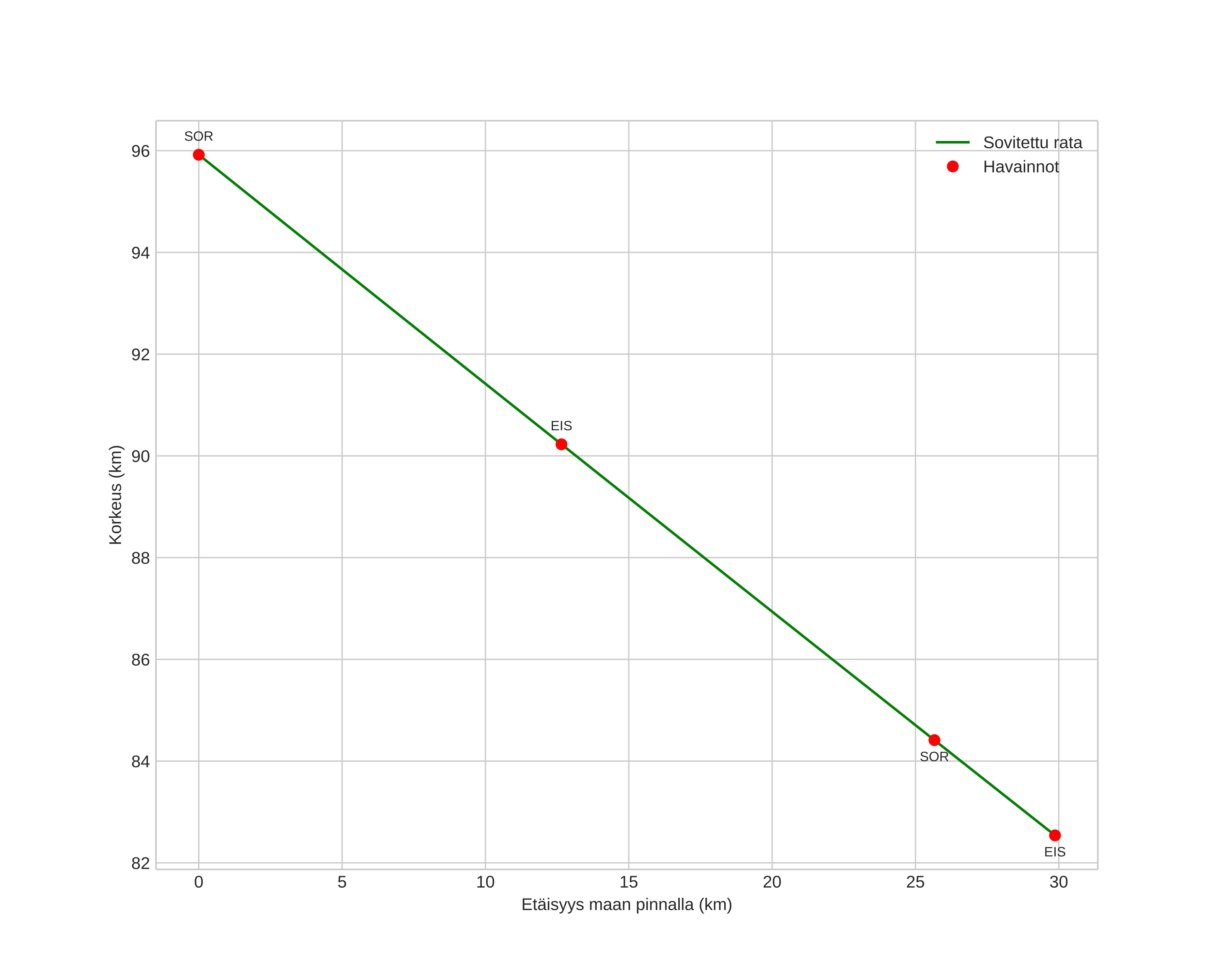
height profile
Meteorin ilmakehärata:
Alkukorkeus: 95,2 km
Loppukorkeus: 81,4 km
Alkupiste: 68,564N 19,014E
Loppupiste: 68,583N 19,743E
Suunta: 85,6°
Kallistuskulma: 24,9°
Tulonopeus: 30,0 km/s
Radiantin R,A,: 03:02 (45,7°)
Radiantin Dekl,: 18,8°
Meteoriparvi: Pohjoiset tauridit
Meteoroidin rataelementit:
Perihelietäisyys: 0,349 AU
Eksentrisyys: 0,827
Inklinaatio: 1,8°
Nousevan solmun pituus: 216,1°
Perihelin argumentti: 295,8°
Keskianomalia: 345,3°
Epookki: 2023 OCT 30 04:25:41
orbit plot

Ei-interaktiivinen kuvaaja | Interaktiivinen kuvaaja

position vs time
speed and acceleration