🇳🇴 🇬🇧 🇩🇪 🇨🇿 🇫🇮

Meteor, poloha: Tromsø 2023-11-03 03:33:08 UTC

Soubor KML  |  InteraktivnĂ­ mapa

Mapa zobrazuje dráhy meteoru. Světlejší čáry ukazují směry od pozorovacích stanic při objevení se meteoru a tmavší čáry, kde byl naposledy viděn. Modrá šipka značí viditelnou dráhu meteoru.

static map
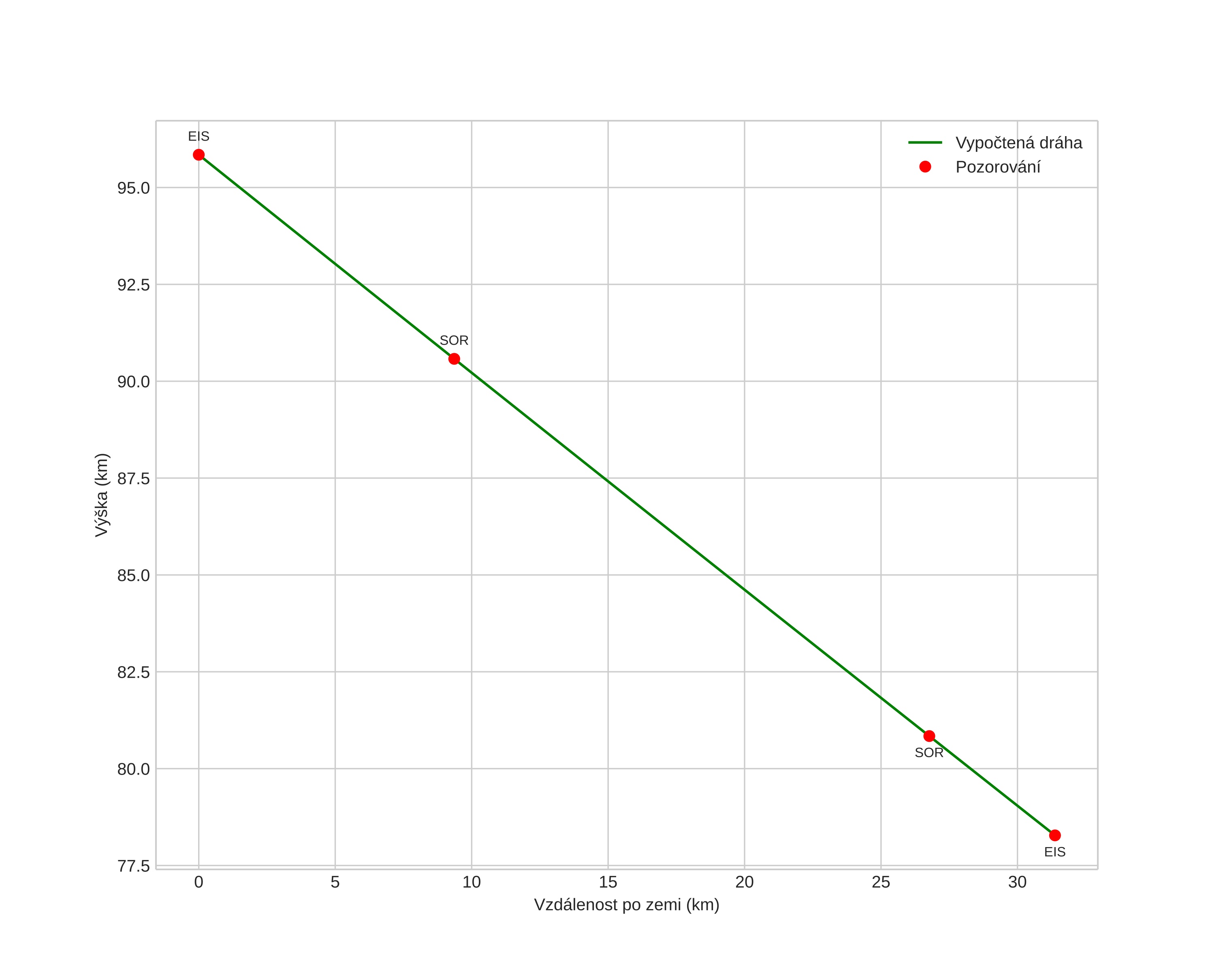
height profile
Atmosférická dráha meteoru:
Počáteční výška: 95,2 km
Konečná výška: 77,7 km
Počáteční poloha: 69,657N 17,755E
Konečná poloha: 69,607N 18,542E
Směr: 100,0°
Sklon: 29,5°
VstupnĂ­ rychlost: 19,0 km/s
Rektascenze radiantu: 01:27 (21,8°)
Deklinace radiantu: 24,2°
MeteorickĂ˝ roj: sporadickĂ˝
Elementy dráhy meteoroidu:
Vzdálenost v periheliu: 0,756 AU
Excentricita: 0,607
Sklon dráhy: 6,5°
Délka vzestupného uzlu: 220,1°
Argument perihelia: 248,3°
Střední anomálie: 343,9°
Epocha: 2023 NOV 03 03:33:08
orbit plot

NeinteraktivnĂ­ graf | InteraktivnĂ­ graf

position vs time
speed and acceleration