🇳🇴 🇬🇧 🇩🇪 🇨🇿 🇫🇮

Meteor Tromsøin yllä 2023-11-03 03:33:08 UTC

KML-tiedosto  |  Interaktiivinen kartta

Kartta näyttää meteorin suuntahavainnot. Vaaleammat viivat näyttävät suunnat havaintoasemilta meteorin ilmestyessä, ja tummemmat viivat näyttävät, missä se viimeksi nähtiin. Sininen nuoli näyttää meteorin näkyvän lennon.

static map
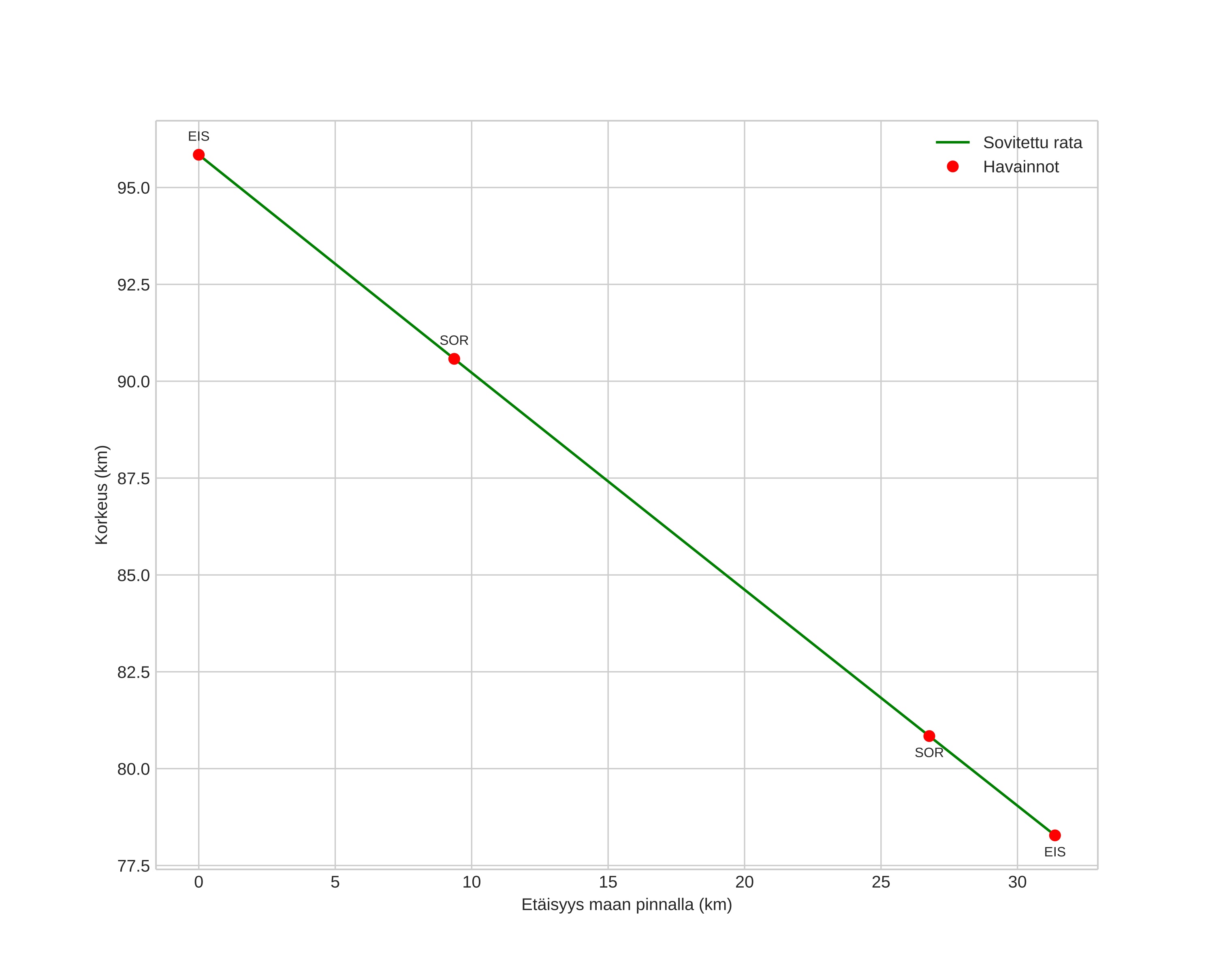
height profile
Meteorin ilmakehärata:
Alkukorkeus: 95,2 km
Loppukorkeus: 77,7 km
Alkupiste: 69,657N 17,755E
Loppupiste: 69,607N 18,542E
Suunta: 100,0°
Kallistuskulma: 29,5°
Tulonopeus: 19,0 km/s
Radiantin R,A,: 01:27 (21,8°)
Radiantin Dekl,: 24,2°
Meteoriparvi: Sporadinen
Meteoroidin rataelementit:
Perihelietäisyys: 0,756 AU
Eksentrisyys: 0,607
Inklinaatio: 6,5°
Nousevan solmun pituus: 220,1°
Perihelin argumentti: 248,3°
Keskianomalia: 343,9°
Epookki: 2023 NOV 03 03:33:08
orbit plot

Ei-interaktiivinen kuvaaja | Interaktiivinen kuvaaja

position vs time
speed and acceleration