🇳🇴 🇬🇧 🇩🇪 🇨🇿 🇫🇮

Meteor, poloha: Andenes 2023-11-03 05:04:01 UTC

Soubor KML  |  InteraktivnĂ­ mapa

Mapa zobrazuje dráhy meteoru. Světlejší čáry ukazují směry od pozorovacích stanic při objevení se meteoru a tmavší čáry, kde byl naposledy viděn. Modrá šipka značí viditelnou dráhu meteoru.

static map
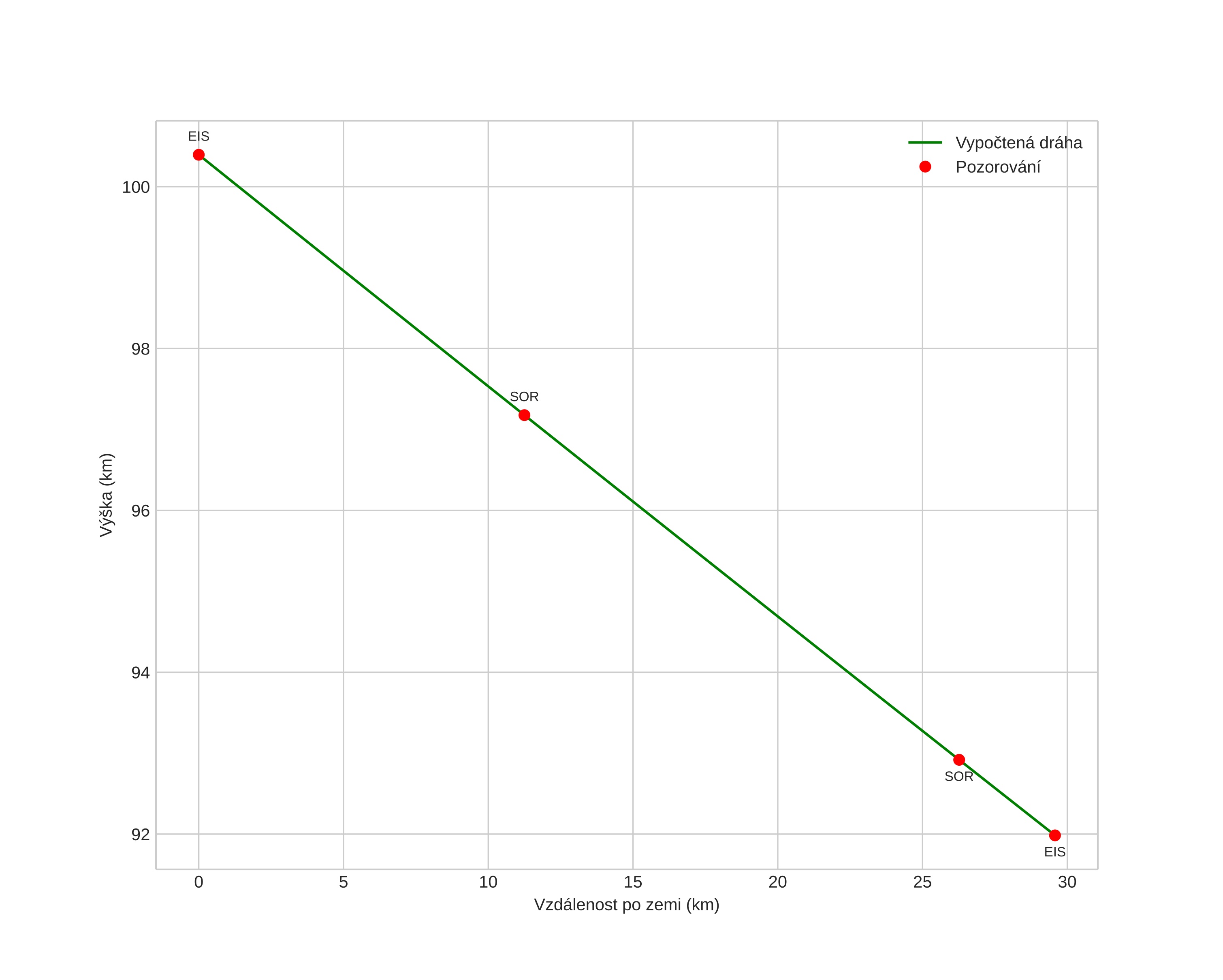
height profile
Atmosférická dráha meteoru:
Počáteční výška: 100,5 km
Konečná výška: 92,2 km
Počáteční poloha: 69,527N 17,171E
Konečná poloha: 69,657N 16,517E
Směr: 300,1°
Sklon: 15,8°
VstupnĂ­ rychlost: 46,7 km/s
Rektascenze radiantu: 12:47 (191,9°)
Deklinace radiantu: 3,9°
MeteorickĂ˝ roj: sporadickĂ˝
Elementy dráhy meteoroidu:
Vzdálenost v periheliu: 0,052 AU
Excentricita: 0,985
Sklon dráhy: 42,6°
Délka vzestupného uzlu: 220,2°
Argument perihelia: 24,6°
Střední anomálie: 4,5°
Epocha: 2023 NOV 03 05:04:01
orbit plot

NeinteraktivnĂ­ graf | InteraktivnĂ­ graf

position vs time
speed and acceleration