🇳🇴 🇬🇧 🇩🇪 🇨🇿 🇫🇮

Meteor Andenesin yllä 2023-11-03 05:04:01 UTC

KML-tiedosto  |  Interaktiivinen kartta

Kartta näyttää meteorin suuntahavainnot. Vaaleammat viivat näyttävät suunnat havaintoasemilta meteorin ilmestyessä, ja tummemmat viivat näyttävät, missä se viimeksi nähtiin. Sininen nuoli näyttää meteorin näkyvän lennon.

static map
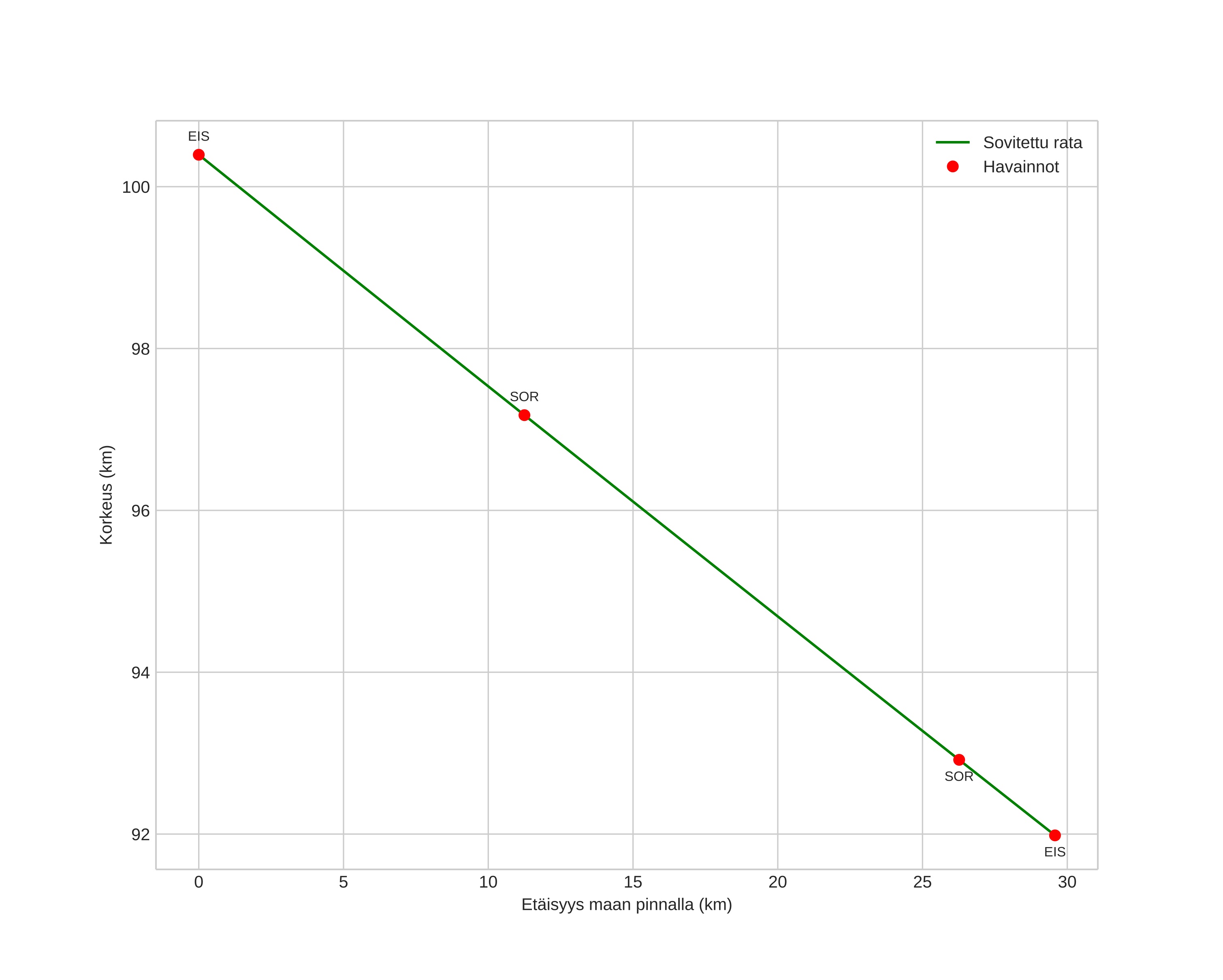
height profile
Meteorin ilmakehärata:
Alkukorkeus: 100,5 km
Loppukorkeus: 92,2 km
Alkupiste: 69,527N 17,171E
Loppupiste: 69,657N 16,517E
Suunta: 300,1°
Kallistuskulma: 15,8°
Tulonopeus: 46,7 km/s
Radiantin R,A,: 12:47 (191,9°)
Radiantin Dekl,: 3,9°
Meteoriparvi: Sporadinen
Meteoroidin rataelementit:
Perihelietäisyys: 0,052 AU
Eksentrisyys: 0,985
Inklinaatio: 42,6°
Nousevan solmun pituus: 220,2°
Perihelin argumentti: 24,6°
Keskianomalia: 4,5°
Epookki: 2023 NOV 03 05:04:01
orbit plot

Ei-interaktiivinen kuvaaja | Interaktiivinen kuvaaja

position vs time
speed and acceleration