🇳🇴 🇬🇧 🇩🇪 🇨🇿 🇫🇮

Meteor, poloha: Setermoen 2023-11-03 16:40:32 UTC

Soubor KML  |  InteraktivnĂ­ mapa

Mapa zobrazuje dráhy meteoru. Světlejší čáry ukazují směry od pozorovacích stanic při objevení se meteoru a tmavší čáry, kde byl naposledy viděn. Modrá šipka značí viditelnou dráhu meteoru.

static map
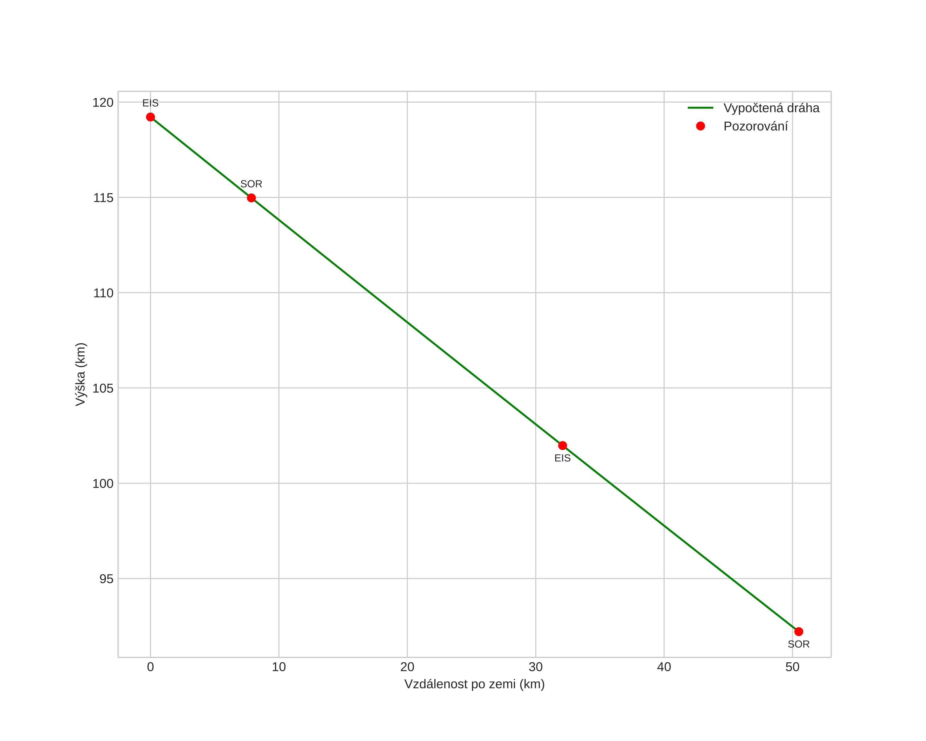
height profile
Atmosférická dráha meteoru:
Počáteční výška: 116,5 km
Konečná výška: 92,8 km
Počáteční poloha: 68,728N 18,499E
Konečná poloha: 68,337N 18,913E
Směr: 158,6°
Sklon: 27,0°
VstupnĂ­ rychlost: 63,8 km/s
Rektascenze radiantu: 10:36 (159,1°)
Deklinace radiantu: 45,9°
MeteorickĂ˝ roj: sporadickĂ˝
Elementy dráhy meteoroidu:
Vzdálenost v periheliu: 0,941 AU
Excentricita: 0,987
Sklon dráhy: 120,9°
Délka vzestupného uzlu: 220,7°
Argument perihelia: 153,8°
Střední anomálie: 0,0°
Epocha: 2023 NOV 03 16:40:32
orbit plot

NeinteraktivnĂ­ graf | InteraktivnĂ­ graf

position vs time
speed and acceleration