🇳🇴 🇬🇧 🇩🇪 🇨🇿 🇫🇮

Meteor Setermoenin yllä 2023-11-03 16:40:32 UTC

KML-tiedosto  |  Interaktiivinen kartta

Kartta näyttää meteorin suuntahavainnot. Vaaleammat viivat näyttävät suunnat havaintoasemilta meteorin ilmestyessä, ja tummemmat viivat näyttävät, missä se viimeksi nähtiin. Sininen nuoli näyttää meteorin näkyvän lennon.

static map
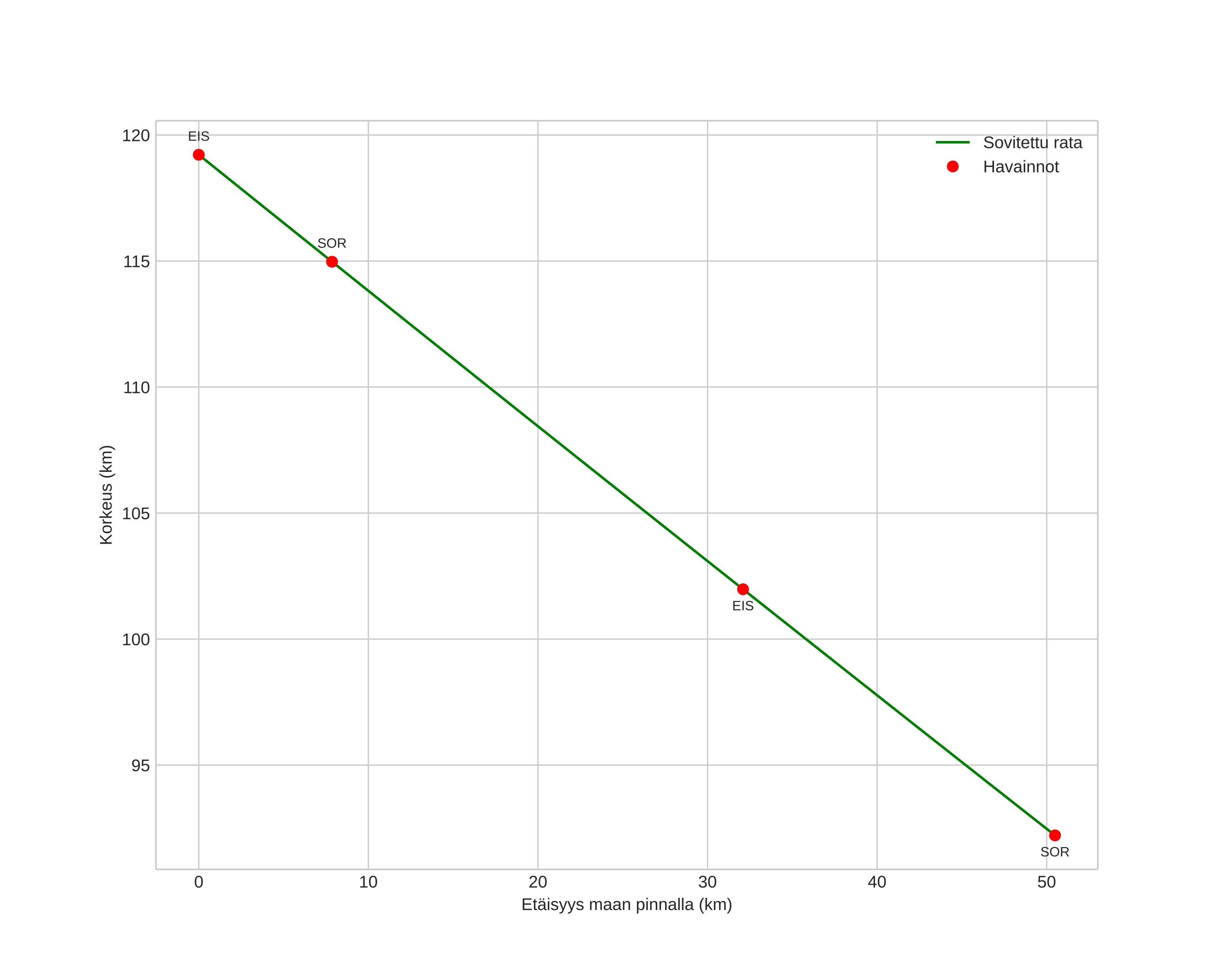
height profile
Meteorin ilmakehärata:
Alkukorkeus: 116,5 km
Loppukorkeus: 92,8 km
Alkupiste: 68,728N 18,499E
Loppupiste: 68,337N 18,913E
Suunta: 158,6°
Kallistuskulma: 27,0°
Tulonopeus: 63,8 km/s
Radiantin R,A,: 10:36 (159,1°)
Radiantin Dekl,: 45,9°
Meteoriparvi: Sporadinen
Meteoroidin rataelementit:
Perihelietäisyys: 0,941 AU
Eksentrisyys: 0,987
Inklinaatio: 120,9°
Nousevan solmun pituus: 220,7°
Perihelin argumentti: 153,8°
Keskianomalia: 0,0°
Epookki: 2023 NOV 03 16:40:32
orbit plot

Ei-interaktiivinen kuvaaja | Interaktiivinen kuvaaja

position vs time
speed and acceleration