🇳🇴 🇬🇧 🇩🇪 🇨🇿 🇫🇮

Meteor, poloha: Myre 2023-11-03 21:17:17 UTC

Soubor KML  |  InteraktivnĂ­ mapa

Mapa zobrazuje dráhy meteoru. Světlejší čáry ukazují směry od pozorovacích stanic při objevení se meteoru a tmavší čáry, kde byl naposledy viděn. Modrá šipka značí viditelnou dráhu meteoru.

static map
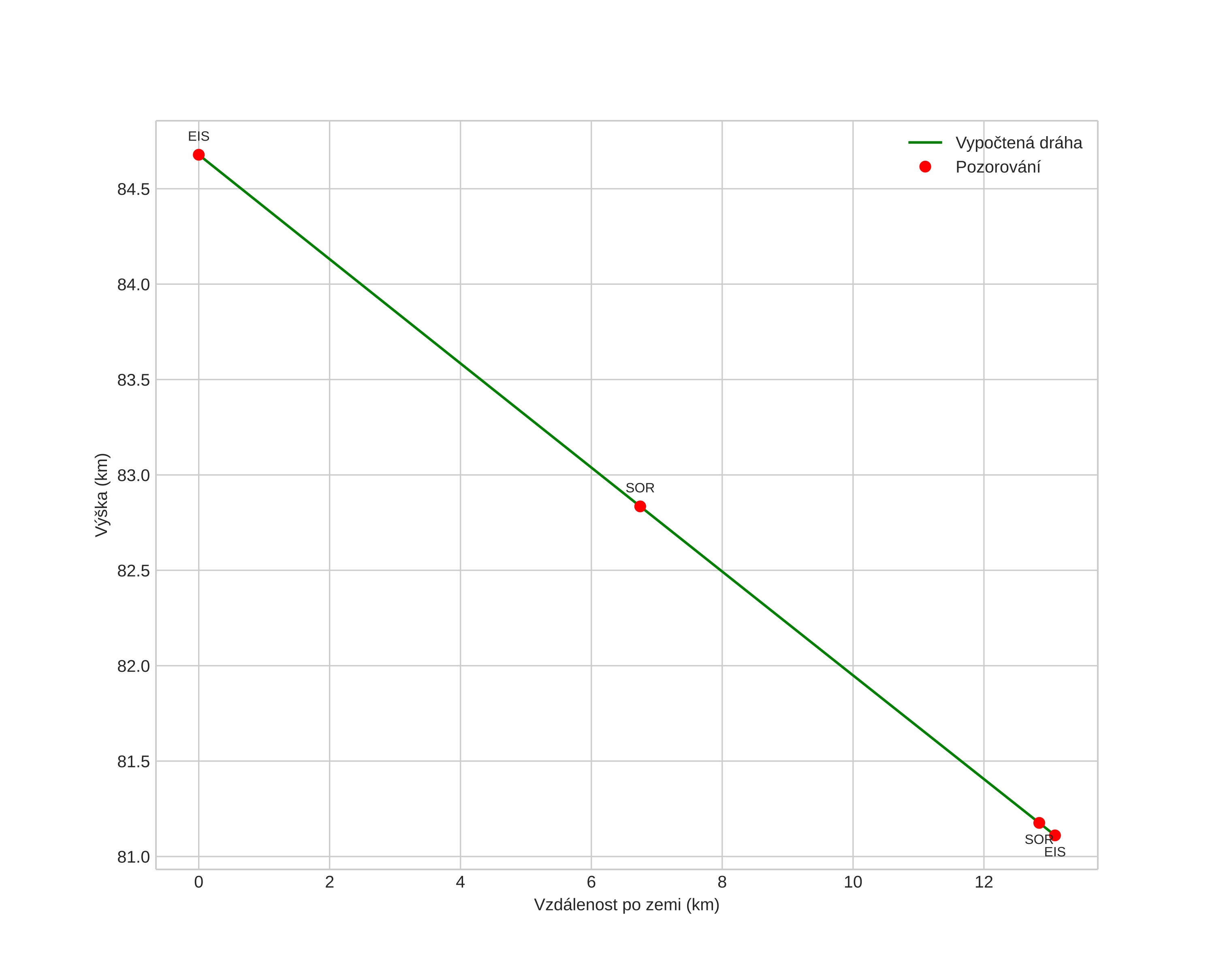
height profile
Atmosférická dráha meteoru:
Počáteční výška: 86,3 km
Konečná výška: 81,2 km
Počáteční poloha: 69,473N 15,377E
Konečná poloha: 69,603N 15,219E
Směr: 337,2°
Sklon: 18,0°
VstupnĂ­ rychlost: 24,6 km/s
Rektascenze radiantu: 02:36 (39,1°)
Deklinace radiantu: -5,9°
MeteorickĂ˝ roj: sporadickĂ˝
Elementy dráhy meteoroidu:
Vzdálenost v periheliu: 0,673 AU
Excentricita: 0,802
Sklon dráhy: 13,1°
Délka vzestupného uzlu: 40,9°
Argument perihelia: 73,9°
Střední anomálie: 353,6°
Epocha: 2023 NOV 03 21:17:17
orbit plot

NeinteraktivnĂ­ graf | InteraktivnĂ­ graf

position vs time
speed and acceleration