🇳🇴 🇬🇧 🇩🇪 🇨🇿 🇫🇮

Meteor Myren yllä 2023-11-03 21:17:17 UTC

KML-tiedosto  |  Interaktiivinen kartta

Kartta näyttää meteorin suuntahavainnot. Vaaleammat viivat näyttävät suunnat havaintoasemilta meteorin ilmestyessä, ja tummemmat viivat näyttävät, missä se viimeksi nähtiin. Sininen nuoli näyttää meteorin näkyvän lennon.

static map
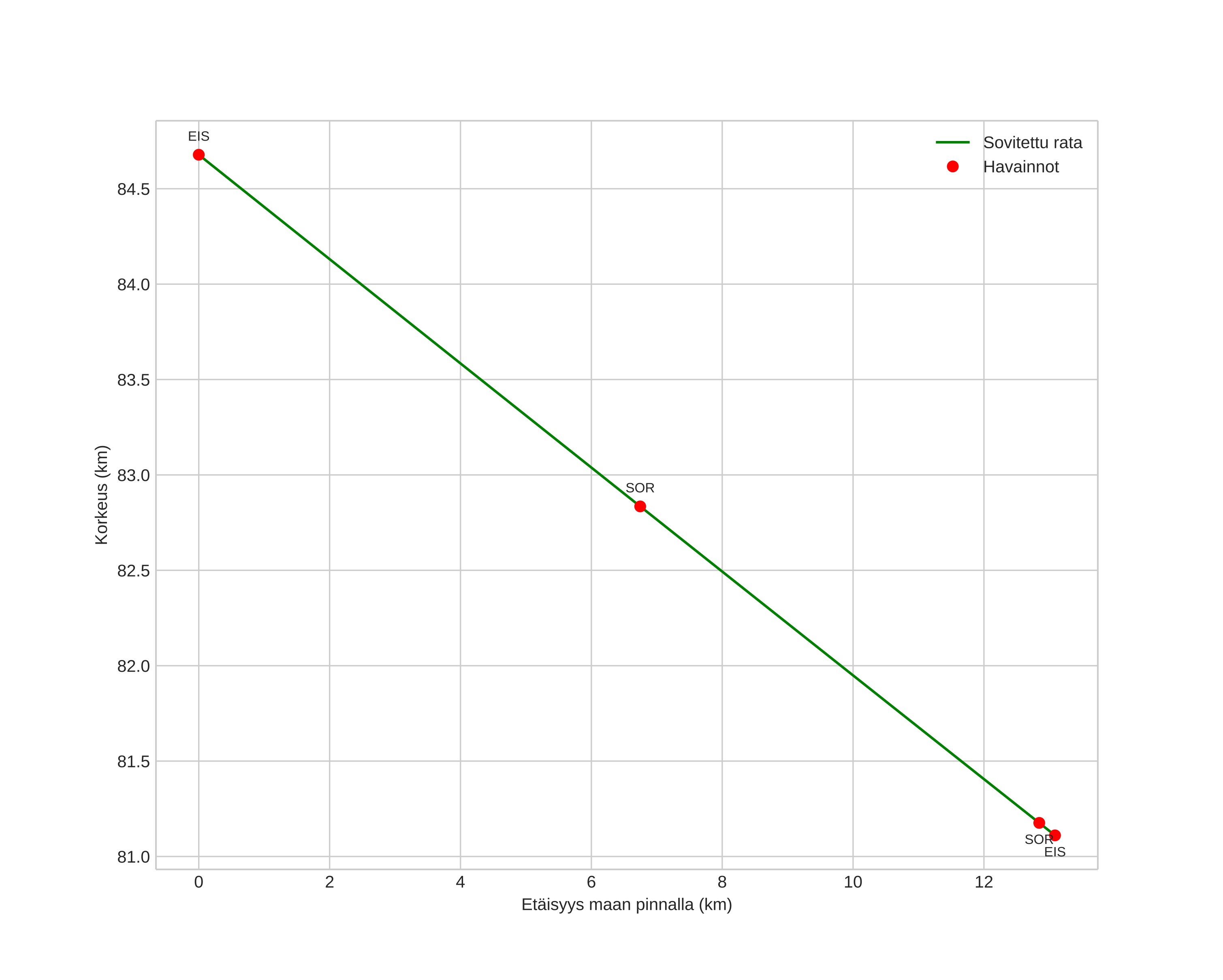
height profile
Meteorin ilmakehärata:
Alkukorkeus: 86,3 km
Loppukorkeus: 81,2 km
Alkupiste: 69,473N 15,377E
Loppupiste: 69,603N 15,219E
Suunta: 337,2°
Kallistuskulma: 18,0°
Tulonopeus: 24,6 km/s
Radiantin R,A,: 02:36 (39,1°)
Radiantin Dekl,: -5,9°
Meteoriparvi: Sporadinen
Meteoroidin rataelementit:
Perihelietäisyys: 0,673 AU
Eksentrisyys: 0,802
Inklinaatio: 13,1°
Nousevan solmun pituus: 40,9°
Perihelin argumentti: 73,9°
Keskianomalia: 353,6°
Epookki: 2023 NOV 03 21:17:17
orbit plot

Ei-interaktiivinen kuvaaja | Interaktiivinen kuvaaja

position vs time
speed and acceleration