🇳🇴 🇬🇧 🇩🇪 🇨🇿 🇫🇮

Meteor, poloha: Byrum 2023-11-07 16:37:04 UTC

Soubor KML  |  InteraktivnĂ­ mapa

Mapa zobrazuje dráhy meteoru. Světlejší čáry ukazují směry od pozorovacích stanic při objevení se meteoru a tmavší čáry, kde byl naposledy viděn. Modrá šipka značí viditelnou dráhu meteoru.

static map
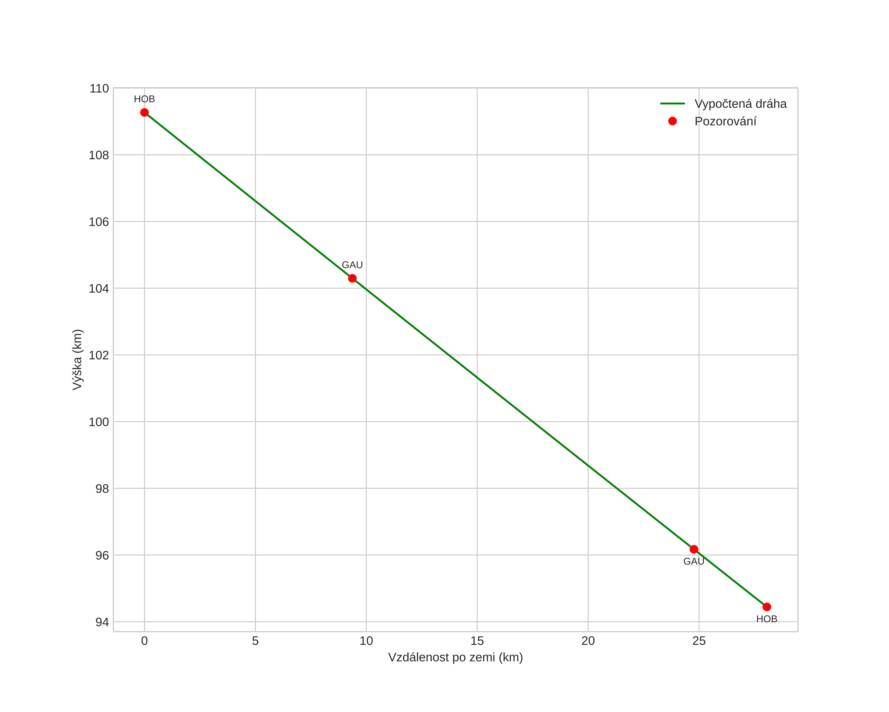
height profile
Atmosférická dráha meteoru:
Počáteční výška: 108,1 km
Konečná výška: 94,1 km
Počáteční poloha: 57,504N 10,627E
Konečná poloha: 57,269N 10,769E
Směr: 162,0°
Sklon: 27,0°
VstupnĂ­ rychlost: 62,2 km/s
Rektascenze radiantu: 10:26 (156,5°)
Deklinace radiantu: 56,5°
MeteorickĂ˝ roj: sporadickĂ˝
Elementy dráhy meteoroidu:
Vzdálenost v periheliu: 0,990 AU
Excentricita: 1,180
Sklon dráhy: 109,9°
Délka vzestupného uzlu: 224,7°
Argument perihelia: 183,1°
Střední anomálie: -0,2°
Epocha: 2023 NOV 07 16:37:04
orbit plot

NeinteraktivnĂ­ graf | InteraktivnĂ­ graf

position vs time
speed and acceleration