🇳🇴 🇬🇧 🇩🇪 🇨🇿 🇫🇮

Meteor über Byrum 2023-11-07 16:37:04 UTC

KML-Datei  |  Interaktive Karte

Die Karte zeigt die Peilungen für den Meteor. Die helleren Linien zeigen die Richtungen von den Beobachtungsorten beim Erscheinen des Meteors, und die dunkleren Linien, wo er zuletzt gesehen wurde. Der blaue Pfeil zeigt die sichtbare Bahn des Meteors.

static map
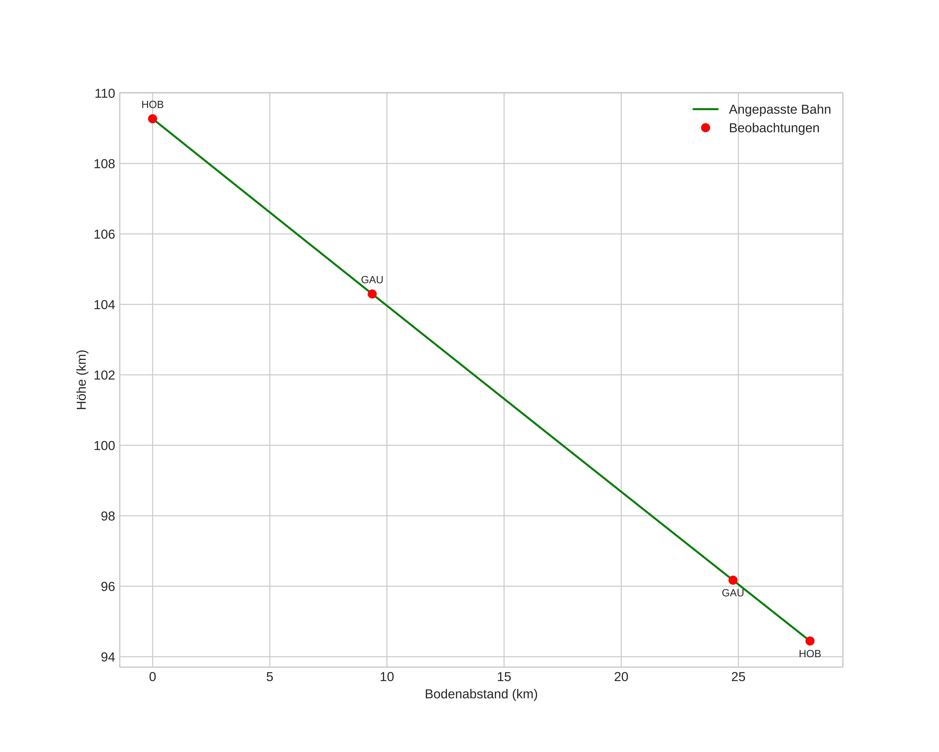
height profile
Atmosphärische Bahn des Meteors:
Anfangshöhe: 108,1 km
Endhöhe: 94,1 km
Startposition: 57,504N 10,627E
Endposition: 57,269N 10,769E
Richtung: 162,0°
Neigungswinkel: 27,0°
Eintrittsgeschwindigkeit: 62,2 km/s
Rektaszension des Radianten: 10:26 (156,5°)
Deklination des Radianten: 56,5°
Meteorstrom: sporadisch
Bahnelemente des Meteoroiden:
Periheldistanz: 0,990 AU
Exzentrizität: 1,180
Inklination: 109,9°
Länge des aufsteigenden Knotens: 224,7°
Argument des Perihels: 183,1°
Mittlere Anomalie: -0,2°
Epoche: 2023 NOV 07 16:37:04
orbit plot

Nicht-interaktives Diagramm | Interaktives Diagramm

position vs time
speed and acceleration