🇳🇴 🇬🇧 🇩🇪 🇨🇿 🇫🇮

Meteor, poloha: Kragerø 2023-11-07 22:35:52 UTC

Soubor KML  |  InteraktivnĂ­ mapa

Mapa zobrazuje dráhy meteoru. Světlejší čáry ukazují směry od pozorovacích stanic při objevení se meteoru a tmavší čáry, kde byl naposledy viděn. Modrá šipka značí viditelnou dráhu meteoru.

static map
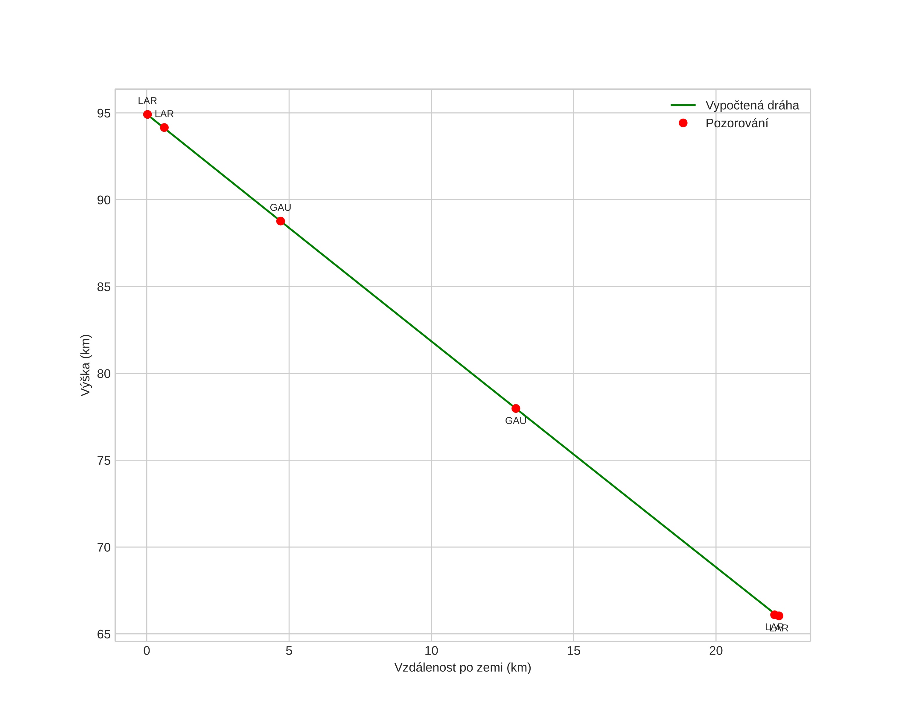
height profile
Atmosférická dráha meteoru:
Počáteční výška: 94,9 km
Konečná výška: 66,1 km
Počáteční poloha: 58,676N 9,749E
Konečná poloha: 58,850N 9,561E
Směr: 330,9°
Sklon: 52,4°
VstupnĂ­ rychlost: 31,4 km/s
Rektascenze radiantu: 03:35 (53,9°)
Deklinace radiantu: 22,2°
MeteorickĂ˝ roj: SevernĂ­ Tauridy
Elementy dráhy meteoroidu:
Vzdálenost v periheliu: 0,344 AU
Excentricita: 0,856
Sklon dráhy: 3,4°
Délka vzestupného uzlu: 224,9°
Argument perihelia: 294,6°
Střední anomálie: 348,9°
Epocha: 2023 NOV 07 22:35:52
orbit plot

NeinteraktivnĂ­ graf | InteraktivnĂ­ graf

position vs time
speed and acceleration