🇳🇴 🇬🇧 🇩🇪 🇨🇿 🇫🇮

Meteor Kragerøin yllä 2023-11-07 22:35:52 UTC

KML-tiedosto  |  Interaktiivinen kartta

Kartta näyttää meteorin suuntahavainnot. Vaaleammat viivat näyttävät suunnat havaintoasemilta meteorin ilmestyessä, ja tummemmat viivat näyttävät, missä se viimeksi nähtiin. Sininen nuoli näyttää meteorin näkyvän lennon.

static map
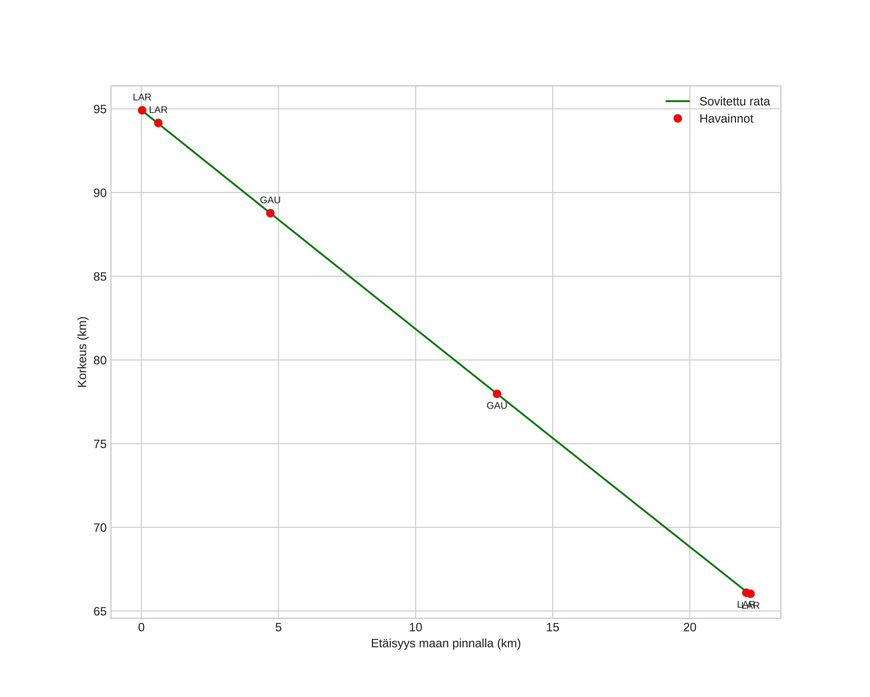
height profile
Meteorin ilmakehärata:
Alkukorkeus: 94,9 km
Loppukorkeus: 66,1 km
Alkupiste: 58,676N 9,749E
Loppupiste: 58,850N 9,561E
Suunta: 330,9°
Kallistuskulma: 52,4°
Tulonopeus: 31,4 km/s
Radiantin R,A,: 03:35 (53,9°)
Radiantin Dekl,: 22,2°
Meteoriparvi: Pohjoiset tauridit
Meteoroidin rataelementit:
Perihelietäisyys: 0,344 AU
Eksentrisyys: 0,856
Inklinaatio: 3,4°
Nousevan solmun pituus: 224,9°
Perihelin argumentti: 294,6°
Keskianomalia: 348,9°
Epookki: 2023 NOV 07 22:35:52
orbit plot

Ei-interaktiivinen kuvaaja | Interaktiivinen kuvaaja

position vs time
speed and acceleration