🇳🇴 🇬🇧 🇩🇪 🇨🇿 🇫🇮

Meteor, poloha: Tromsø 2023-11-09 18:31:21 UTC

Soubor KML  |  InteraktivnĂ­ mapa

Mapa zobrazuje dráhy meteoru. Světlejší čáry ukazují směry od pozorovacích stanic při objevení se meteoru a tmavší čáry, kde byl naposledy viděn. Modrá šipka značí viditelnou dráhu meteoru.

static map
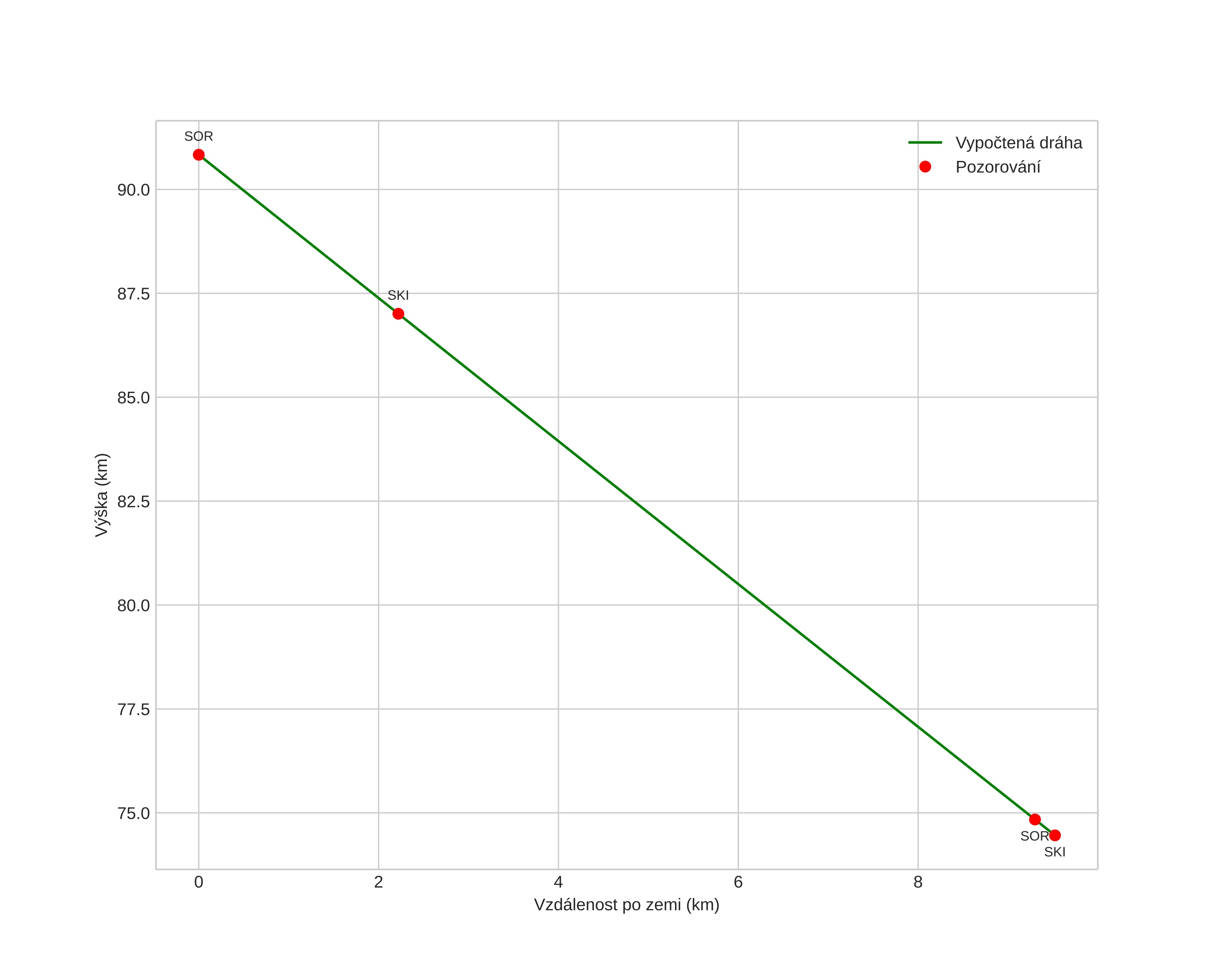
height profile
Atmosférická dráha meteoru:
Počáteční výška: 90,8 km
Konečná výška: 74,5 km
Počáteční poloha: 69,783N 18,998E
Konečná poloha: 69,806N 19,237E
Směr: 74,5°
Sklon: 59,7°
VstupnĂ­ rychlost: 20,2 km/s
Rektascenze radiantu: 19:35 (294,0°)
Deklinace radiantu: 47,0°
MeteorickĂ˝ roj: sporadickĂ˝
Elementy dráhy meteoroidu:
Vzdálenost v periheliu: 0,991 AU
Excentricita: 0,778
Sklon dráhy: 22,9°
Délka vzestupného uzlu: 226,8°
Argument perihelia: 180,5°
Střední anomálie: 360,0°
Epocha: 2023 NOV 09 18:31:21
orbit plot

NeinteraktivnĂ­ graf | InteraktivnĂ­ graf

position vs time
speed and acceleration

Skibotn (SKI) cam4

gnomonic
Videa
• Původní
Obrázky
• Původní
Textové soubory
• Detekce
• Pozorování
• Souřadnice
• Chybová hlášení
• Protokol
Jasnost