🇳🇴 🇬🇧 🇩🇪 🇨🇿 🇫🇮

Meteor Tromsøin yllä 2023-11-09 18:31:21 UTC

KML-tiedosto  |  Interaktiivinen kartta

Kartta näyttää meteorin suuntahavainnot. Vaaleammat viivat näyttävät suunnat havaintoasemilta meteorin ilmestyessä, ja tummemmat viivat näyttävät, missä se viimeksi nähtiin. Sininen nuoli näyttää meteorin näkyvän lennon.

static map
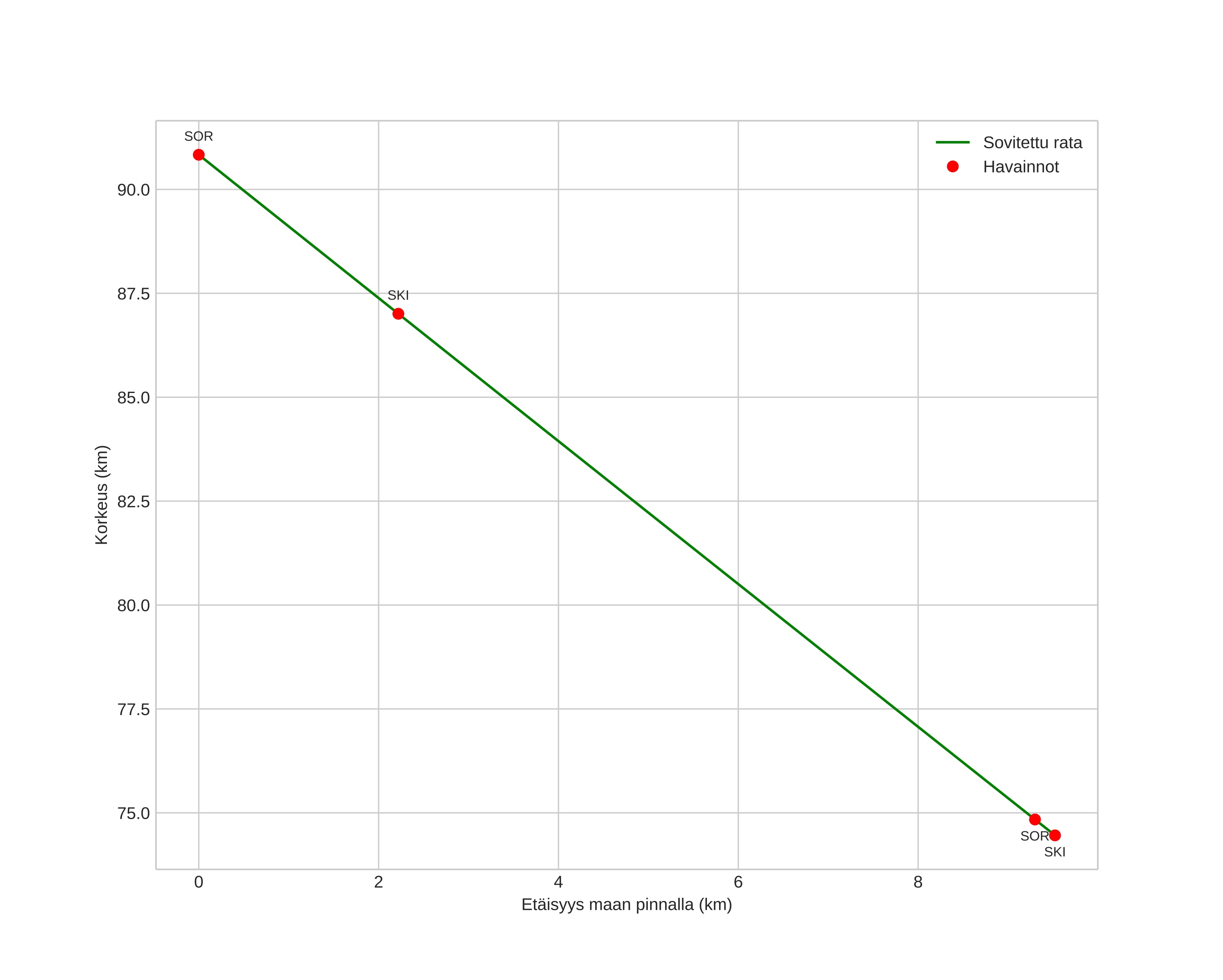
height profile
Meteorin ilmakehärata:
Alkukorkeus: 90,8 km
Loppukorkeus: 74,5 km
Alkupiste: 69,783N 18,998E
Loppupiste: 69,806N 19,237E
Suunta: 74,5°
Kallistuskulma: 59,7°
Tulonopeus: 20,2 km/s
Radiantin R,A,: 19:35 (294,0°)
Radiantin Dekl,: 47,0°
Meteoriparvi: Sporadinen
Meteoroidin rataelementit:
Perihelietäisyys: 0,991 AU
Eksentrisyys: 0,778
Inklinaatio: 22,9°
Nousevan solmun pituus: 226,8°
Perihelin argumentti: 180,5°
Keskianomalia: 360,0°
Epookki: 2023 NOV 09 18:31:21
orbit plot

Ei-interaktiivinen kuvaaja | Interaktiivinen kuvaaja

position vs time
speed and acceleration

Skibotn (SKI) cam4

gnomonic
Videot:
• Alkuperäinen
Kuvat:
• Alkuperäinen
Tekstitiedostot:
• Havaintoraportti
• Observaatio
• Koordinaatit
• Virheilmoitukset
• Loki
Kirkkaus