🇳🇴 🇬🇧 🇩🇪 🇨🇿 🇫🇮

Meteor über Skjervøy 2023-11-12 05:20:23 UTC

KML-Datei  |  Interaktive Karte

Die Karte zeigt die Peilungen für den Meteor. Die helleren Linien zeigen die Richtungen von den Beobachtungsorten beim Erscheinen des Meteors, und die dunkleren Linien, wo er zuletzt gesehen wurde. Der blaue Pfeil zeigt die sichtbare Bahn des Meteors.

static map
height profile
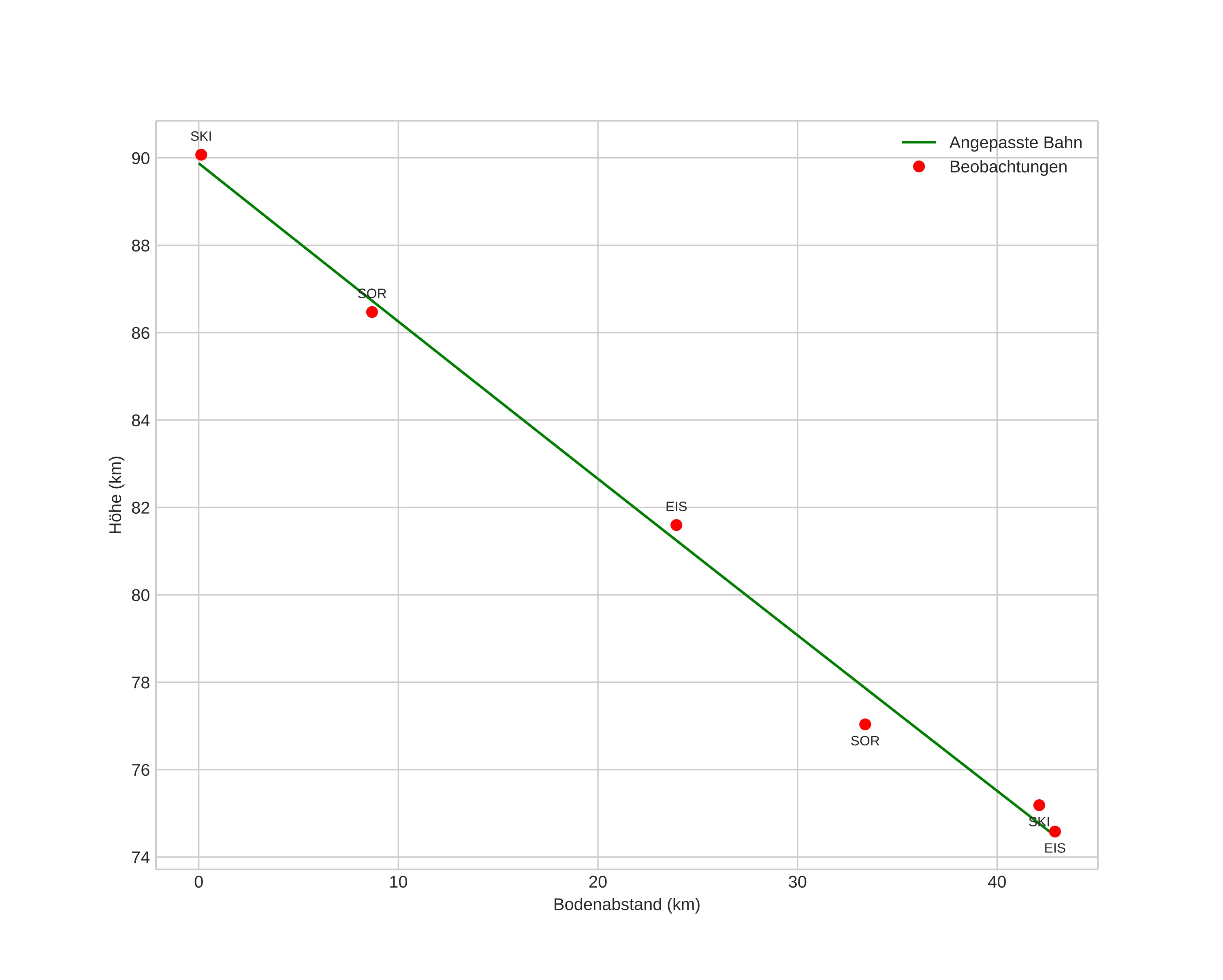
Atmosphärische Bahn des Meteors:
Anfangshöhe: 86,5 km
Endhöhe: 74,2 km
Startposition: 70,642N 19,453E
Endposition: 70,637N 20,395E
Richtung: 90,5°
Neigungswinkel: 19,5°
Eintrittsgeschwindigkeit: 28,7 km/s
Rektaszension des Radianten: 04:21 (65,3°)
Deklination des Radianten: 15,3°
Meteorstrom: Nördliche Tauriden
Bahnelemente des Meteoroiden:
Periheldistanz: 0,317 AU
Exzentrizität: 0,779
Inklination: 7,2°
Länge des aufsteigenden Knotens: 49,2°
Argument des Perihels: 123,5°
Mittlere Anomalie: 334,4°
Epoche: 2023 NOV 12 05:20:23
orbit plot

Nicht-interaktives Diagramm | Interaktives Diagramm

position vs time
speed and acceleration