🇳🇴 🇬🇧 🇩🇪 🇨🇿 🇫🇮

Meteor Skjervøyn yllä 2023-11-12 05:20:23 UTC

KML-tiedosto  |  Interaktiivinen kartta

Kartta näyttää meteorin suuntahavainnot. Vaaleammat viivat näyttävät suunnat havaintoasemilta meteorin ilmestyessä, ja tummemmat viivat näyttävät, missä se viimeksi nähtiin. Sininen nuoli näyttää meteorin näkyvän lennon.

static map
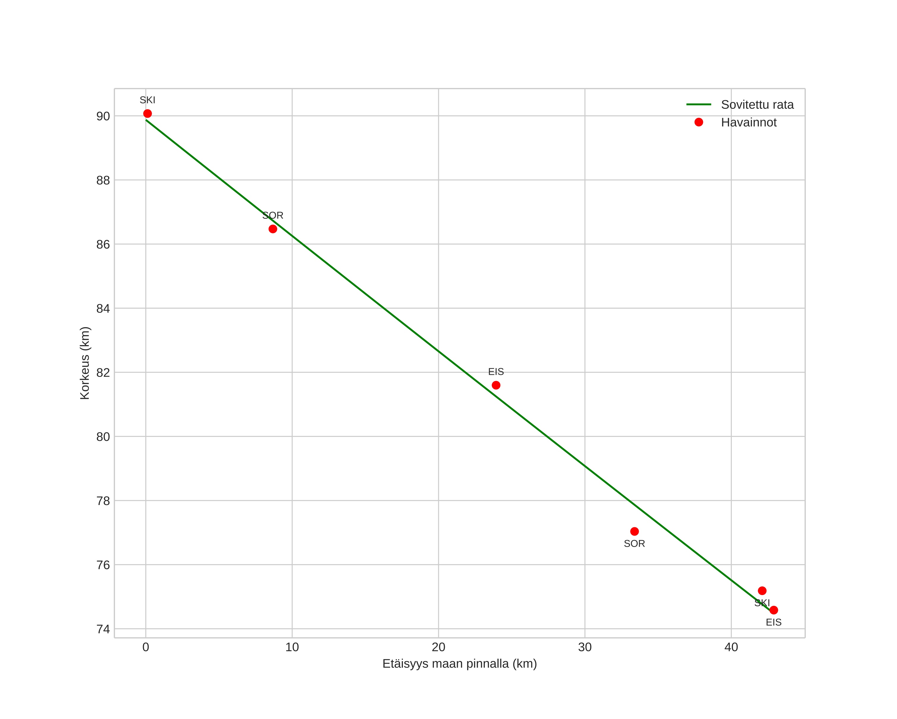
height profile
Meteorin ilmakehärata:
Alkukorkeus: 86,5 km
Loppukorkeus: 74,2 km
Alkupiste: 70,642N 19,453E
Loppupiste: 70,637N 20,395E
Suunta: 90,5°
Kallistuskulma: 19,5°
Tulonopeus: 28,7 km/s
Radiantin R,A,: 04:21 (65,3°)
Radiantin Dekl,: 15,3°
Meteoriparvi: Pohjoiset tauridit
Meteoroidin rataelementit:
Perihelietäisyys: 0,317 AU
Eksentrisyys: 0,779
Inklinaatio: 7,2°
Nousevan solmun pituus: 49,2°
Perihelin argumentti: 123,5°
Keskianomalia: 334,4°
Epookki: 2023 NOV 12 05:20:23
orbit plot

Ei-interaktiivinen kuvaaja | Interaktiivinen kuvaaja

position vs time
speed and acceleration