🇳🇴 🇬🇧 🇩🇪 🇨🇿 🇫🇮

Meteor, poloha: Moen 2023-11-12 16:55:50 UTC

Soubor KML  |  InteraktivnĂ­ mapa

Mapa zobrazuje dráhy meteoru. Světlejší čáry ukazují směry od pozorovacích stanic při objevení se meteoru a tmavší čáry, kde byl naposledy viděn. Modrá šipka značí viditelnou dráhu meteoru.

static map
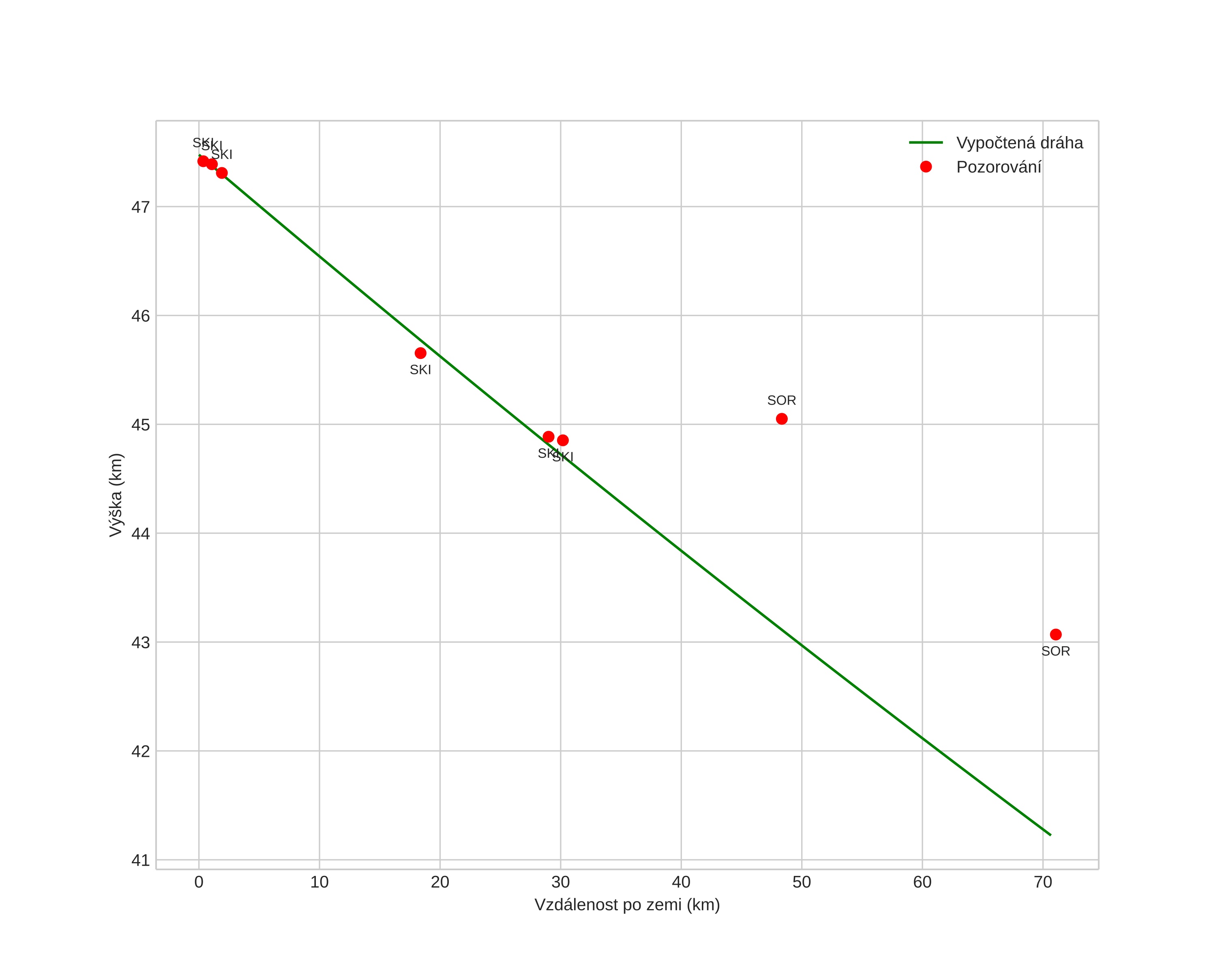
height profile
Atmosférická dráha meteoru:
Počáteční výška: 47,6 km
Konečná výška: 40,7 km
Počáteční poloha: 69,411N 20,268E
Konečná poloha: 69,327N 18,474E
Směr: 263,2°
Sklon: 5,6°
VstupnĂ­ rychlost: 12,7 km/s
Rektascenze radiantu: 04:55 (73,9°)
Deklinace radiantu: -27,1°
MeteorickĂ˝ roj: sporadickĂ˝
Elementy dráhy meteoroidu:
Vzdálenost v periheliu: 0,833 AU
Excentricita: 0,136
Sklon dráhy: 8,5°
Délka vzestupného uzlu: 49,7°
Argument perihelia: 108,9°
Střední anomálie: 266,4°
Epocha: 2023 NOV 12 16:55:50
orbit plot

NeinteraktivnĂ­ graf | InteraktivnĂ­ graf

position vs time
speed and acceleration