🇳🇴 🇬🇧 🇩🇪 🇨🇿 🇫🇮

Meteor Moenin yllä 2023-11-12 16:55:50 UTC

KML-tiedosto  |  Interaktiivinen kartta

Kartta näyttää meteorin suuntahavainnot. Vaaleammat viivat näyttävät suunnat havaintoasemilta meteorin ilmestyessä, ja tummemmat viivat näyttävät, missä se viimeksi nähtiin. Sininen nuoli näyttää meteorin näkyvän lennon.

static map
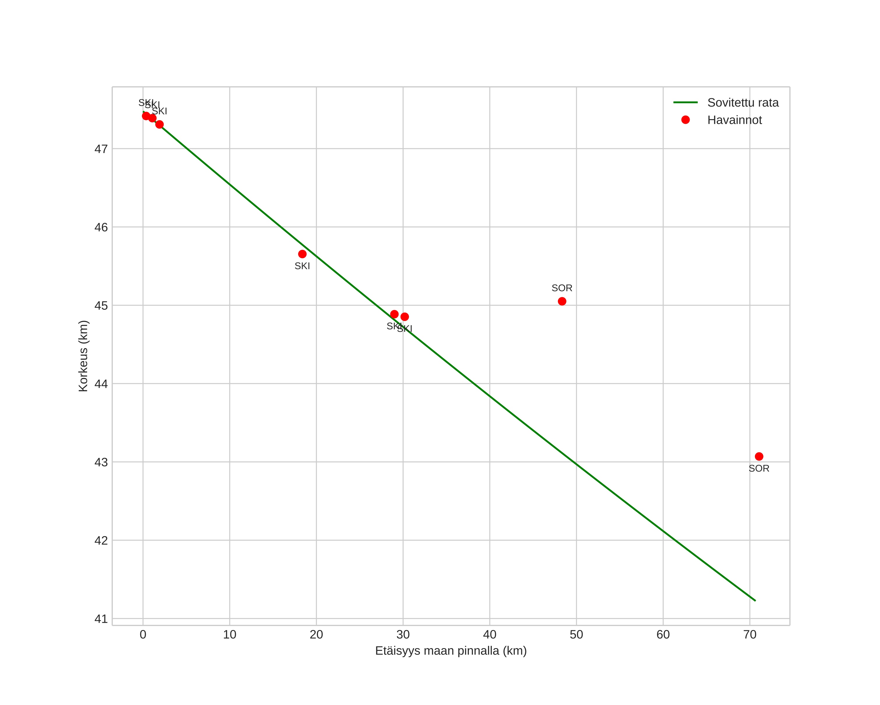
height profile
Meteorin ilmakehärata:
Alkukorkeus: 47,6 km
Loppukorkeus: 40,7 km
Alkupiste: 69,411N 20,268E
Loppupiste: 69,327N 18,474E
Suunta: 263,2°
Kallistuskulma: 5,6°
Tulonopeus: 12,7 km/s
Radiantin R,A,: 04:55 (73,9°)
Radiantin Dekl,: -27,1°
Meteoriparvi: Sporadinen
Meteoroidin rataelementit:
Perihelietäisyys: 0,833 AU
Eksentrisyys: 0,136
Inklinaatio: 8,5°
Nousevan solmun pituus: 49,7°
Perihelin argumentti: 108,9°
Keskianomalia: 266,4°
Epookki: 2023 NOV 12 16:55:50
orbit plot

Ei-interaktiivinen kuvaaja | Interaktiivinen kuvaaja

position vs time
speed and acceleration