🇳🇴 🇬🇧 🇩🇪 🇨🇿 🇫🇮

Meteor, poloha: Finnsnes 2023-11-12 19:40:02 UTC

Soubor KML  |  InteraktivnĂ­ mapa

Mapa zobrazuje dráhy meteoru. Světlejší čáry ukazují směry od pozorovacích stanic při objevení se meteoru a tmavší čáry, kde byl naposledy viděn. Modrá šipka značí viditelnou dráhu meteoru.

static map
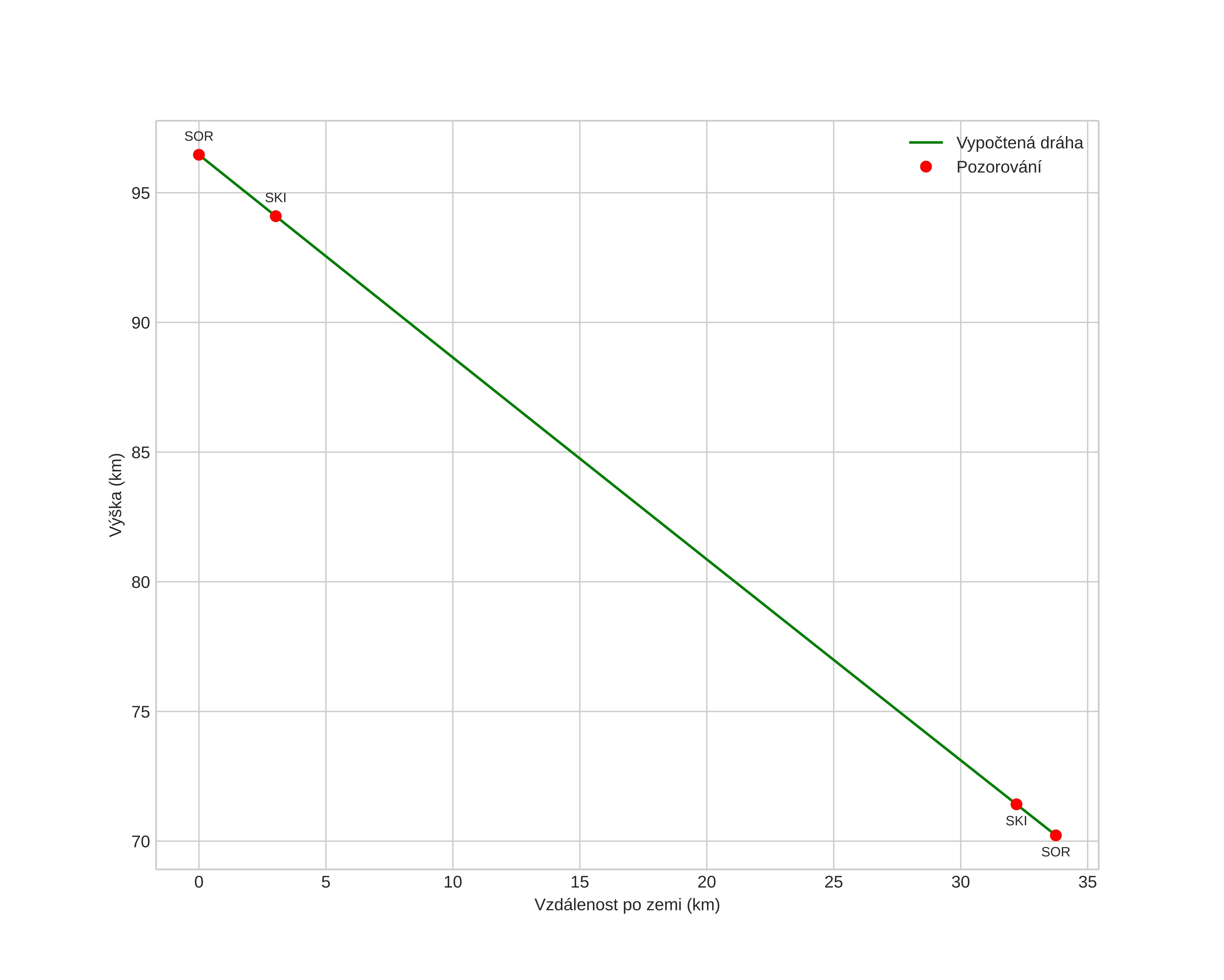
height profile
Atmosférická dráha meteoru:
Počáteční výška: 96,5 km
Konečná výška: 70,2 km
Počáteční poloha: 69,518N 18,611E
Konečná poloha: 69,647N 17,823E
Směr: 295,5°
Sklon: 37,9°
VstupnĂ­ rychlost: 30,3 km/s
Rektascenze radiantu: 03:54 (58,6°)
Deklinace radiantu: 25,3°
MeteorickĂ˝ roj: SevernĂ­ Tauridy
Elementy dráhy meteoroidu:
Vzdálenost v periheliu: 0,360 AU
Excentricita: 0,828
Sklon dráhy: 5,7°
Délka vzestupného uzlu: 229,8°
Argument perihelia: 293,8°
Střední anomálie: 346,2°
Epocha: 2023 NOV 12 19:40:02
orbit plot

NeinteraktivnĂ­ graf | InteraktivnĂ­ graf

position vs time
speed and acceleration