🇳🇴 🇬🇧 🇩🇪 🇨🇿 🇫🇮

Meteor Finnsnesin yllä 2023-11-12 19:40:02 UTC

KML-tiedosto  |  Interaktiivinen kartta

Kartta näyttää meteorin suuntahavainnot. Vaaleammat viivat näyttävät suunnat havaintoasemilta meteorin ilmestyessä, ja tummemmat viivat näyttävät, missä se viimeksi nähtiin. Sininen nuoli näyttää meteorin näkyvän lennon.

static map
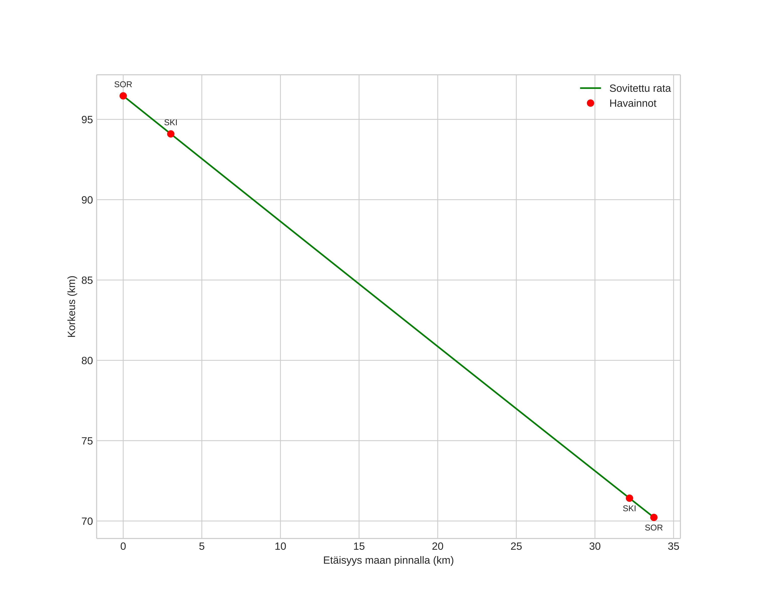
height profile
Meteorin ilmakehärata:
Alkukorkeus: 96,5 km
Loppukorkeus: 70,2 km
Alkupiste: 69,518N 18,611E
Loppupiste: 69,647N 17,823E
Suunta: 295,5°
Kallistuskulma: 37,9°
Tulonopeus: 30,3 km/s
Radiantin R,A,: 03:54 (58,6°)
Radiantin Dekl,: 25,3°
Meteoriparvi: Pohjoiset tauridit
Meteoroidin rataelementit:
Perihelietäisyys: 0,360 AU
Eksentrisyys: 0,828
Inklinaatio: 5,7°
Nousevan solmun pituus: 229,8°
Perihelin argumentti: 293,8°
Keskianomalia: 346,2°
Epookki: 2023 NOV 12 19:40:02
orbit plot

Ei-interaktiivinen kuvaaja | Interaktiivinen kuvaaja

position vs time
speed and acceleration