🇳🇴 🇬🇧 🇩🇪 🇨🇿 🇫🇮

Meteor, poloha: Hansnes 2023-11-14 00:18:36 UTC

Soubor KML  |  InteraktivnĂ­ mapa

Mapa zobrazuje dráhy meteoru. Světlejší čáry ukazují směry od pozorovacích stanic při objevení se meteoru a tmavší čáry, kde byl naposledy viděn. Modrá šipka značí viditelnou dráhu meteoru.

static map
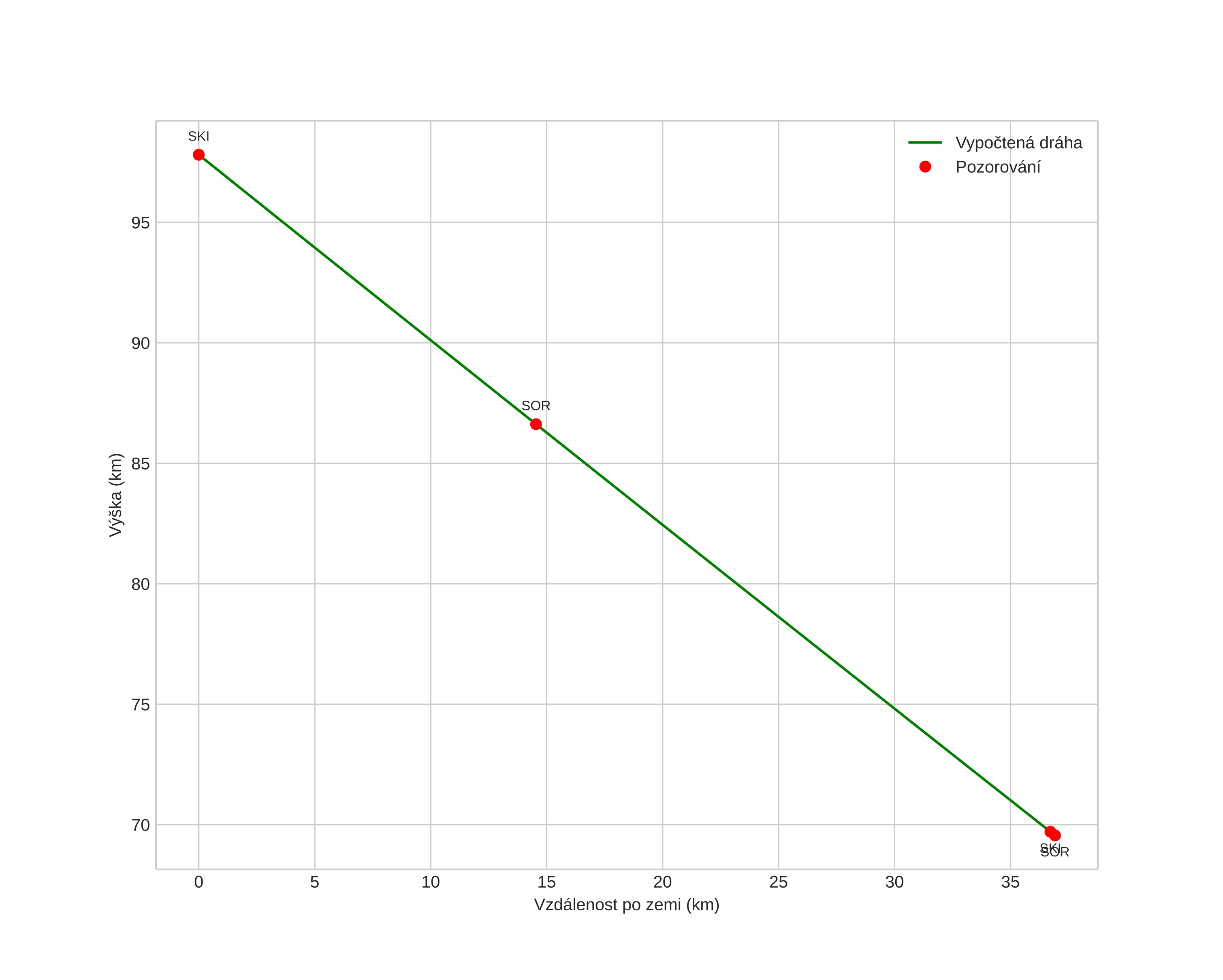
height profile
Atmosférická dráha meteoru:
Počáteční výška: 88,7 km
Konečná výška: 67,0 km
Počáteční poloha: 71,621N 19,172E
Konečná poloha: 71,838N 19,392E
Směr: 17,6°
Sklon: 40,7°
VstupnĂ­ rychlost: 32,4 km/s
Rektascenze radiantu: 04:05 (61,4°)
Deklinace radiantu: 21,2°
MeteorickĂ˝ roj: SevernĂ­ Tauridy
Elementy dráhy meteoroidu:
Vzdálenost v periheliu: 0,325 AU
Excentricita: 0,879
Sklon dráhy: 0,5°
Délka vzestupného uzlu: 230,7°
Argument perihelia: 296,1°
Střední anomálie: 350,9°
Epocha: 2023 NOV 14 00:18:36
orbit plot

NeinteraktivnĂ­ graf | InteraktivnĂ­ graf

position vs time
speed and acceleration