🇳🇴 🇬🇧 🇩🇪 🇨🇿 🇫🇮

Meteor Hansnesin yllä 2023-11-14 00:18:36 UTC

KML-tiedosto  |  Interaktiivinen kartta

Kartta näyttää meteorin suuntahavainnot. Vaaleammat viivat näyttävät suunnat havaintoasemilta meteorin ilmestyessä, ja tummemmat viivat näyttävät, missä se viimeksi nähtiin. Sininen nuoli näyttää meteorin näkyvän lennon.

static map
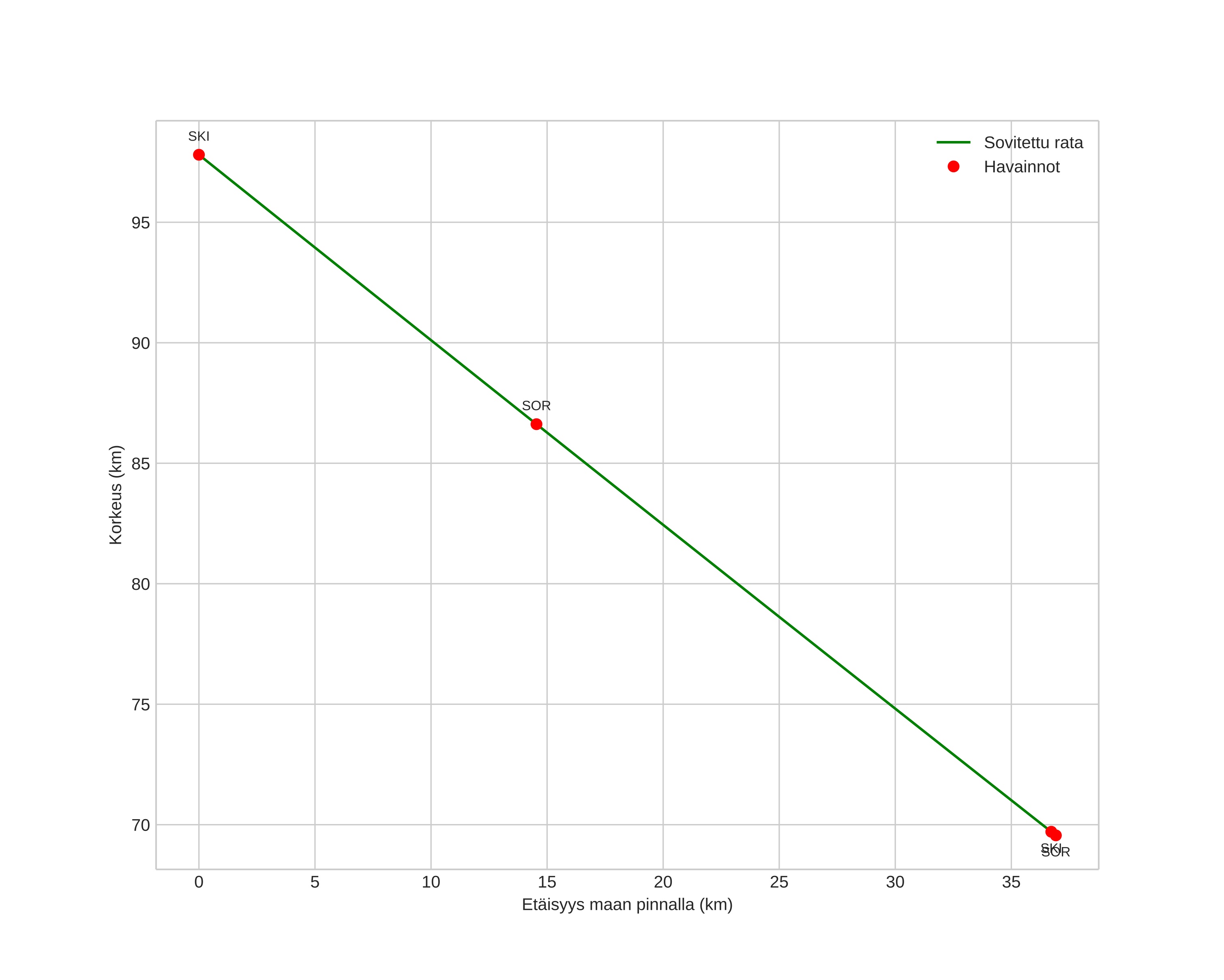
height profile
Meteorin ilmakehärata:
Alkukorkeus: 88,7 km
Loppukorkeus: 67,0 km
Alkupiste: 71,621N 19,172E
Loppupiste: 71,838N 19,392E
Suunta: 17,6°
Kallistuskulma: 40,7°
Tulonopeus: 32,4 km/s
Radiantin R,A,: 04:05 (61,4°)
Radiantin Dekl,: 21,2°
Meteoriparvi: Pohjoiset tauridit
Meteoroidin rataelementit:
Perihelietäisyys: 0,325 AU
Eksentrisyys: 0,879
Inklinaatio: 0,5°
Nousevan solmun pituus: 230,7°
Perihelin argumentti: 296,1°
Keskianomalia: 350,9°
Epookki: 2023 NOV 14 00:18:36
orbit plot

Ei-interaktiivinen kuvaaja | Interaktiivinen kuvaaja

position vs time
speed and acceleration