🇳🇴 🇬🇧 🇩🇪 🇨🇿 🇫🇮

Meteor, poloha: Os 2023-11-17 17:49:05 UTC

Soubor KML  |  InteraktivnĂ­ mapa

Mapa zobrazuje dráhy meteoru. Světlejší čáry ukazují směry od pozorovacích stanic při objevení se meteoru a tmavší čáry, kde byl naposledy viděn. Modrá šipka značí viditelnou dráhu meteoru.

static map
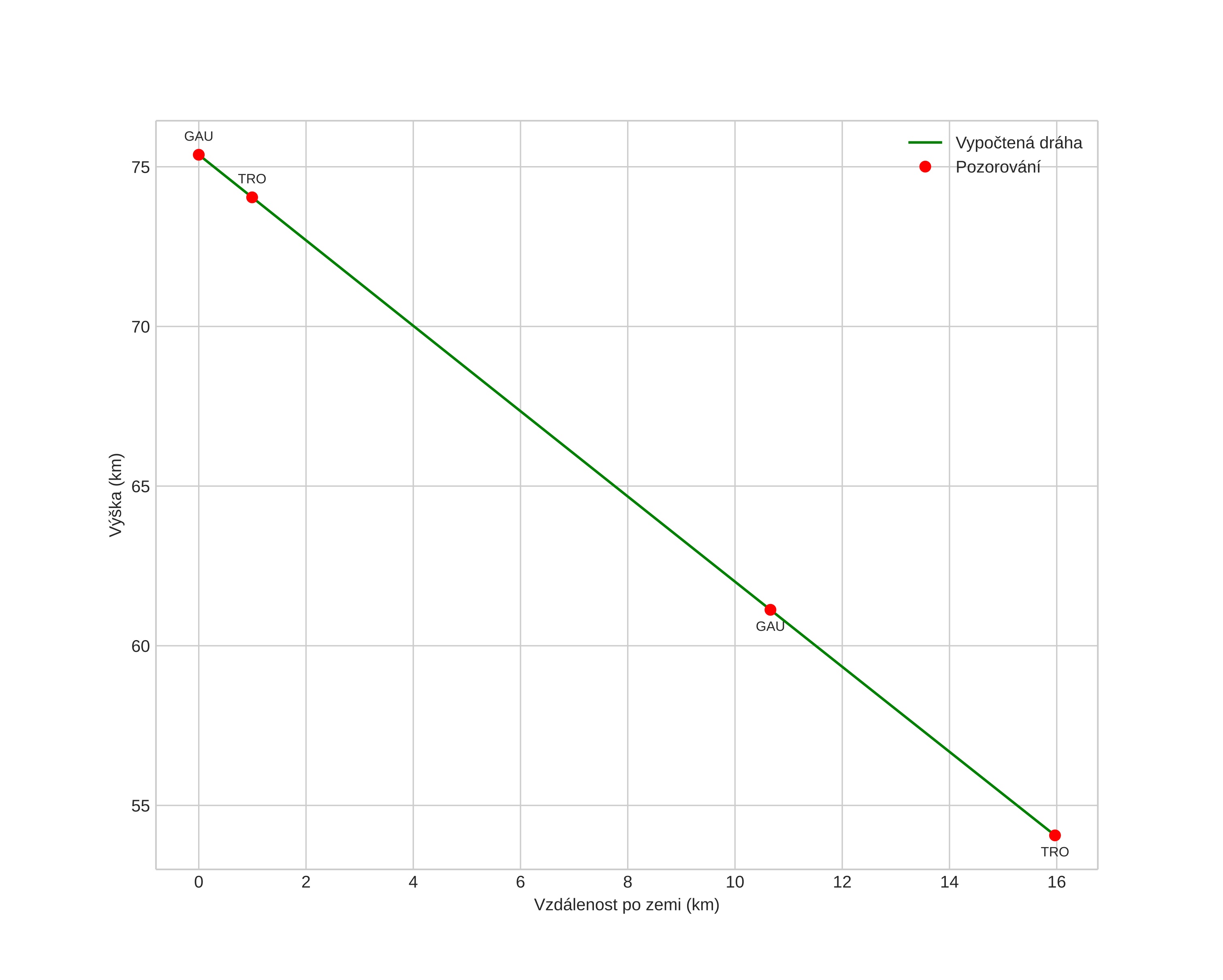
height profile
Atmosférická dráha meteoru:
Počáteční výška: 75,7 km
Konečná výška: 54,1 km
Počáteční poloha: 62,421N 10,993E
Konečná poloha: 62,476N 11,283E
Směr: 67,4°
Sklon: 53,2°
VstupnĂ­ rychlost: 17,4 km/s
Rektascenze radiantu: 19:07 (286,9°)
Deklinace radiantu: 32,5°
MeteorickĂ˝ roj: sporadickĂ˝
Elementy dráhy meteoroidu:
Vzdálenost v periheliu: 0,979 AU
Excentricita: 0,676
Sklon dráhy: 16,6°
Délka vzestupného uzlu: 234,8°
Argument perihelia: 167,0°
Střední anomálie: 1,9°
Epocha: 2023 NOV 17 17:49:05
orbit plot

NeinteraktivnĂ­ graf | InteraktivnĂ­ graf

position vs time
speed and acceleration