🇳🇴 🇬🇧 🇩🇪 🇨🇿 🇫🇮

Meteor Osin yllä 2023-11-17 17:49:05 UTC

KML-tiedosto  |  Interaktiivinen kartta

Kartta näyttää meteorin suuntahavainnot. Vaaleammat viivat näyttävät suunnat havaintoasemilta meteorin ilmestyessä, ja tummemmat viivat näyttävät, missä se viimeksi nähtiin. Sininen nuoli näyttää meteorin näkyvän lennon.

static map
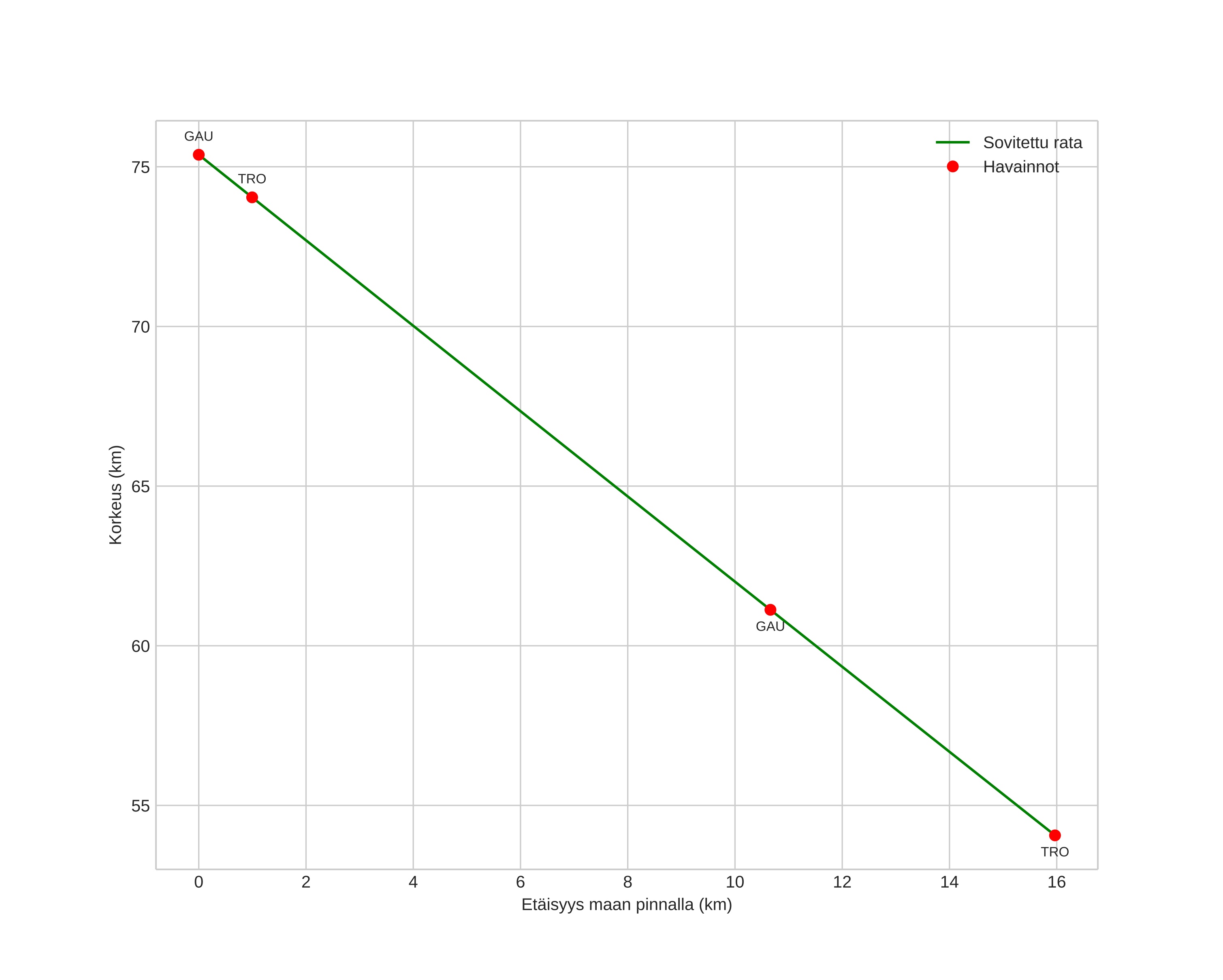
height profile
Meteorin ilmakehärata:
Alkukorkeus: 75,7 km
Loppukorkeus: 54,1 km
Alkupiste: 62,421N 10,993E
Loppupiste: 62,476N 11,283E
Suunta: 67,4°
Kallistuskulma: 53,2°
Tulonopeus: 17,4 km/s
Radiantin R,A,: 19:07 (286,9°)
Radiantin Dekl,: 32,5°
Meteoriparvi: Sporadinen
Meteoroidin rataelementit:
Perihelietäisyys: 0,979 AU
Eksentrisyys: 0,676
Inklinaatio: 16,6°
Nousevan solmun pituus: 234,8°
Perihelin argumentti: 167,0°
Keskianomalia: 1,9°
Epookki: 2023 NOV 17 17:49:05
orbit plot

Ei-interaktiivinen kuvaaja | Interaktiivinen kuvaaja

position vs time
speed and acceleration