🇳🇴 🇬🇧 🇩🇪 🇨🇿 🇫🇮

Meteor, poloha: Skjervøy 2023-11-20 18:08:53 UTC

Soubor KML  |  InteraktivnĂ­ mapa

Mapa zobrazuje dráhy meteoru. Světlejší čáry ukazují směry od pozorovacích stanic při objevení se meteoru a tmavší čáry, kde byl naposledy viděn. Modrá šipka značí viditelnou dráhu meteoru.

static map
height profile
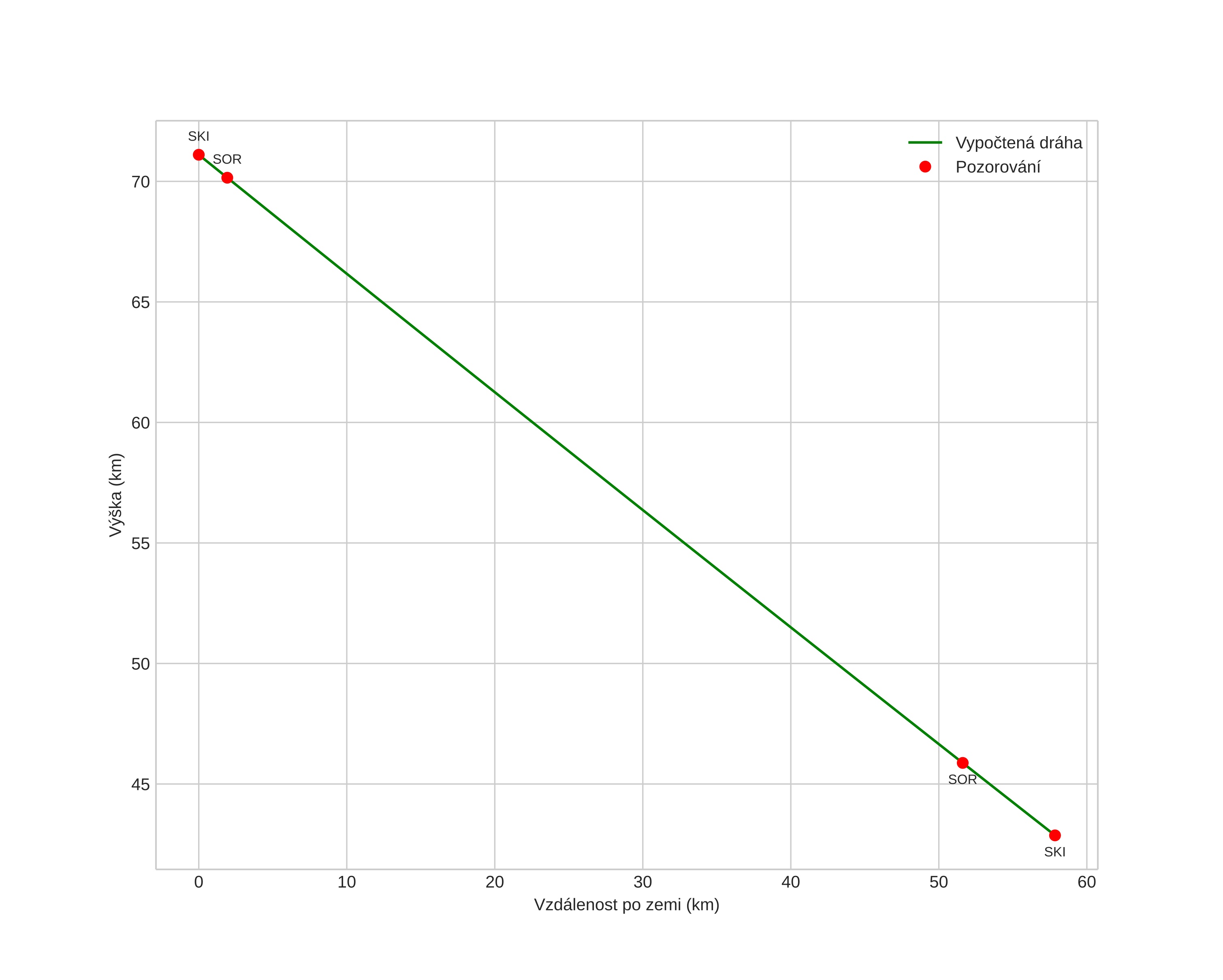
Atmosférická dráha meteoru:
Počáteční výška: 71,1 km
Konečná výška: 42,9 km
Počáteční poloha: 70,902N 21,374E
Konečná poloha: 71,306N 20,359E
Směr: 321,3°
Sklon: 26,0°
VstupnĂ­ rychlost: 17,2 km/s
Rektascenze radiantu: 01:56 (29,2°)
Deklinace radiantu: 1,0°
MeteorickĂ˝ roj: sporadickĂ˝
Elementy dráhy meteoroidu:
Vzdálenost v periheliu: 0,880 AU
Excentricita: 0,681
Sklon dráhy: 3,6°
Délka vzestupného uzlu: 57,9°
Argument perihelia: 43,0°
Střední anomálie: 353,5°
Epocha: 2023 NOV 20 18:08:53
orbit plot

NeinteraktivnĂ­ graf | InteraktivnĂ­ graf

position vs time
speed and acceleration