🇳🇴 🇬🇧 🇩🇪 🇨🇿 🇫🇮

Meteor Skjervøyn yllä 2023-11-20 18:08:53 UTC

KML-tiedosto

Kartta näyttää meteorin suuntahavainnot. Vaaleammat viivat näyttävät suunnat havaintoasemilta meteorin ilmestyessä, ja tummemmat viivat näyttävät, missä se viimeksi nähtiin. Sininen nuoli näyttää meteorin näkyvän lennon.

static map
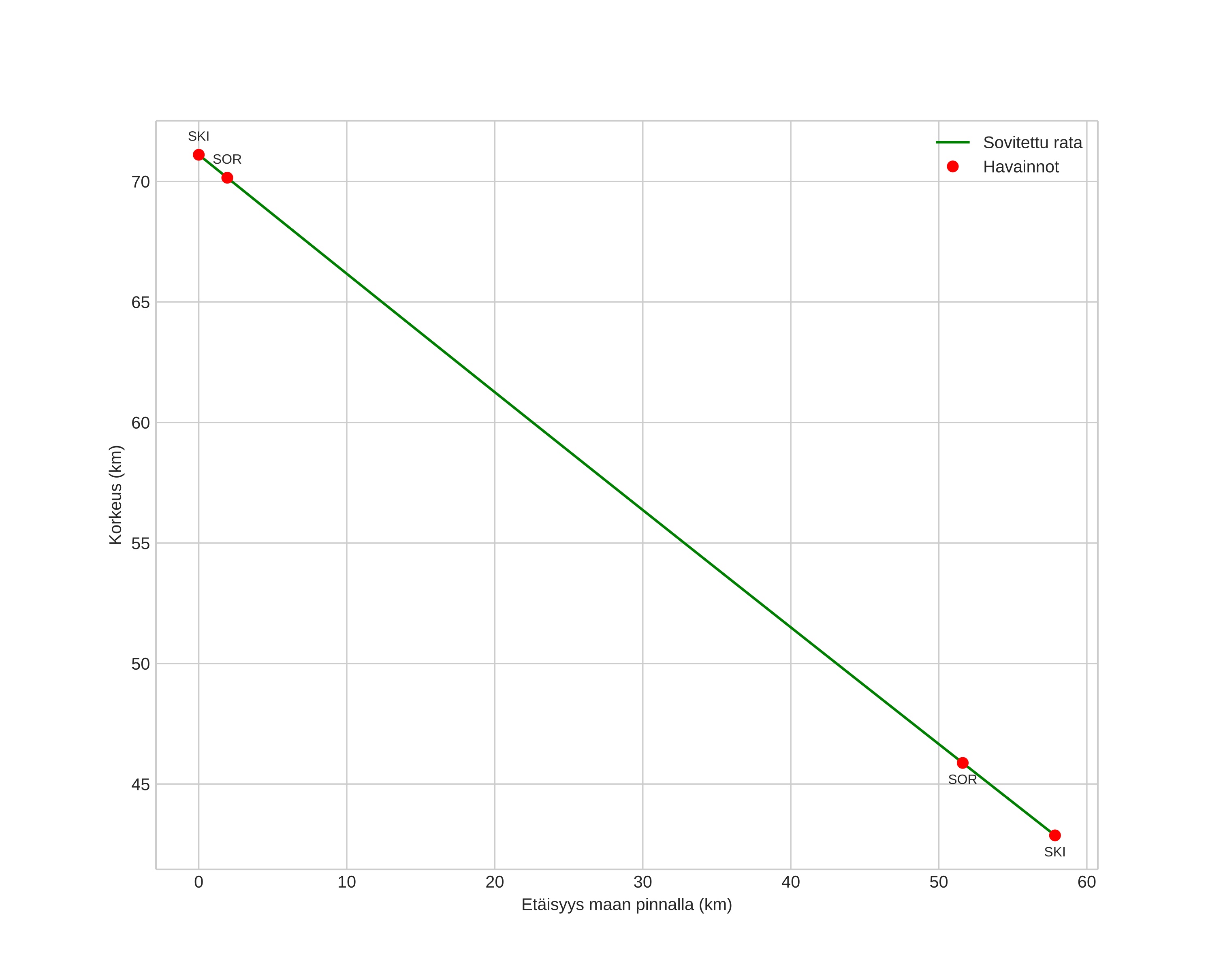
height profile
Meteorens atmosfæriske bane:
Starthøgde: 73,6 km
Slutthøgde: 43,3 km
Startposisjon: 70,915N 21,478E
Sluttposisjon: 71,280N 20,463E
Retning: 318,4°
Fallvinkel: 29,0°
Inngangshastighet: 17,4 km/s
Radiantens rektascensjon: 02:04 (31,1°)
Radiantens deklinasjon: 5,5°
Meteorsverm: sporadisk
Meteoroidens baneelement:
Perihelavstand: 0,862 AU
Eksentrisitet: 0,668
Inklinasjon: 2,5°
Knutelengde: 57,9°
Perihelargument: 46,9°
Midlere anomali: 352,4°
Epoke: 2023 NOV 20 18:08:53
orbit plot

Ei-interaktiivinen kuvaaja

position vs time
speed and acceleration

Skibotn (SKI) cam4


gnomonic
Videoer
• Gnomonisk
• Gnomonisk med koordinater
• Original
• Original med koordinater
Bilder
• Gnomonisk
• Gnomonisk med koordinater
• Gnomonisk med annotering
• Ukorrigert gnomonisk med annotering
• Original
• Original med koordinater
• Original med maske
Tekstfiler
• Deteksjon
• Observasjon
• Koordinater
• Feilmeldinger

Sorreisa (SOR) cam4


gnomonic
Videoer
• Gnomonisk
• Gnomonisk med koordinater
• Original
• Original med koordinater
Bilder
• Gnomonisk
• Gnomonisk med koordinater
• Gnomonisk med annotering
• Ukorrigert gnomonisk med annotering
• Original
• Original med koordinater
• Original med maske
Tekstfiler
• Deteksjon
• Observasjon
• Koordinater
• Feilmeldinger